| 查看: 1347 | 回复: 1 | |
[求助]
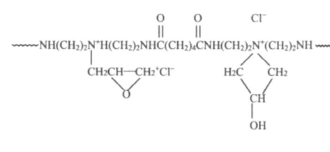
聚酰胺聚胺与环氧氯丙烷的反应
|
|
![]() |
|
|
|
|
![]() |
|
|
2楼2017-03-28 16:08:30
|
|














回复此楼