| 查看: 1010 | 回复: 1 | ||
lfengzhiwu金虫 (小有名气)
|
[求助]
电化学小白求助CV曲线问题 已有1人参与
|
|
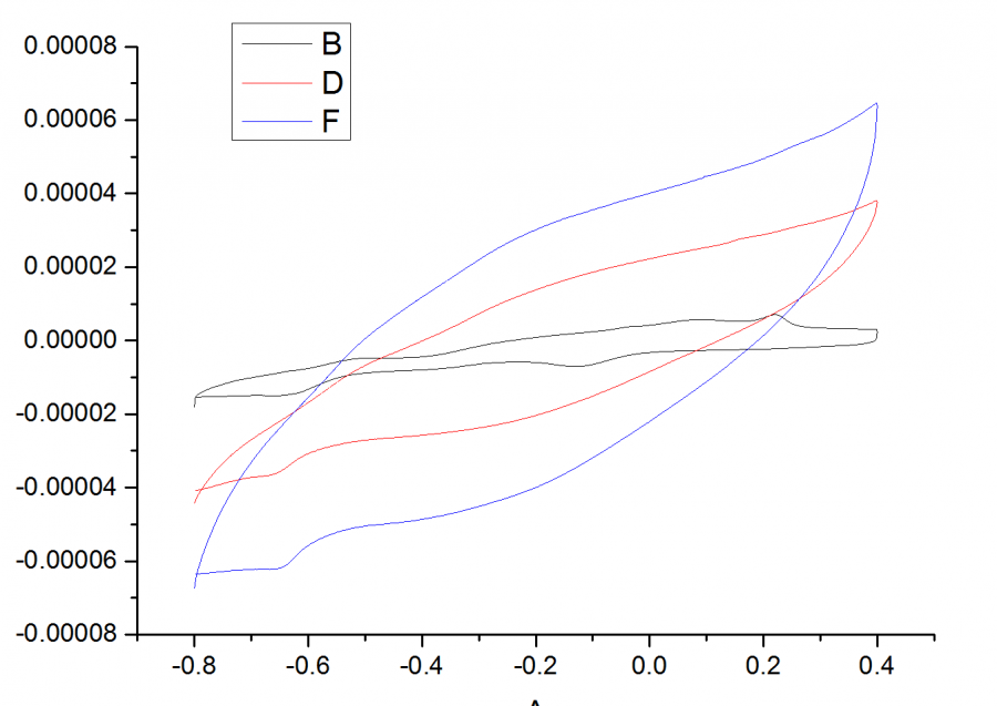
大家好,本人初次接触电化学,很多东西还处于”自认为“阶段,今天在测CV曲线的时候有一些问题不明白,请大牛们给回答一下! 第一个图是碳纳米管电聚合吡咯后测的CV曲线,电解质是氯化钠;第二个图电解质是NaReO4;为什么第二个图没有氧化还原峰出现,大家推测是什么原因造成的呢? J4`ED6HT[WYKAM4ITXVI[{L.png R`%9`@P~95PY6_VO`{F1S8K.png@Gamry-电化学@a88592718@langzhizhou@louderbe@VIMPILE |
» 猜你喜欢
南大化学调剂
已经有11人回复
硫酸钠溶液浓度与密度曲线
已经有0人回复
物理化学论文润色/翻译怎么收费?
已经有52人回复
0703调剂
已经有4人回复
1
已经有21人回复
0703 调剂
已经有6人回复
招收
已经有0人回复
西南某211招27届博士
已经有32人回复
大连工业杰青/长江团队-生物质材料-储能电池方向招收2026级博士生
已经有0人回复
求调剂一志愿海大,0703化学学硕304分,有大创项目,四级已过
已经有10人回复
» 本主题相关商家推荐: (我也要在这里推广)
文静320
铜虫 (初入文坛)
- 应助: 0 (幼儿园)
- 金币: 178
- 散金: 20
- 帖子: 39
- 在线: 17.6小时
- 虫号: 2920096
- 注册: 2014-01-08
- 性别: MM
- 专业: 高分子材料结构与性能

2楼2017-12-02 21:49:58













回复此楼