24小时热门版块排行榜    

查看: 300  |  回复: 0

海心焰

至尊木虫 (著名写手)

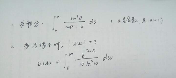
[求助] 两个积分问题,希望大神帮帮忙~~

两个积分问题,希望大神帮帮忙~~
回复此楼

» 猜你喜欢

世情推物理!
已阅   回复此楼   关注TA 给TA发消息 送TA红花 TA的回帖
相关版块跳转 我要订阅楼主 海心焰 的主题更新
最具人气热帖推荐 [查看全部] 作者 回/看 最后发表
[考研] 0703化学调剂 +11 妮妮ninicgb 2026-03-15 15/750 2026-03-21 19:15 by ColorlessPI
[考研] 【考研调剂】化学专业 281分,一志愿四川大学,诚心求调剂 +11 吃吃吃才有意义 2026-03-19 11/550 2026-03-21 18:23 by 学员8dgXkO
[考研] 299求调剂 +5 shxchem 2026-03-20 7/350 2026-03-21 17:09 by ColorlessPI
[考研] 299求调剂 +4 某某某某位 2026-03-21 4/200 2026-03-21 16:30 by barlinike
[考研] 一志愿华中科技大学071000,求调剂 +3 沿岸有贝壳6 2026-03-21 3/150 2026-03-21 10:35 by 暮云清寒
[考研] 316求调剂 +6 梁茜雯 2026-03-19 6/300 2026-03-21 06:32 by Ecowxq666!
[考研] 307求调剂 +3 wyyyqx 2026-03-17 3/150 2026-03-21 03:20 by JourneyLucky
[考研] 一志愿武理材料305分求调剂 +6 想上岸的鲤鱼 2026-03-18 7/350 2026-03-21 01:03 by JourneyLucky
[考研] 一志愿华南师大 070300(化学)304分求调剂 +3 0703武芊慧雪304 2026-03-18 3/150 2026-03-21 00:48 by JourneyLucky
[考研] 南京大学化学376求调剂 +3 hisfailed 2026-03-19 6/300 2026-03-20 23:43 by hisfailed
[考研] 085600材料与化工 +8 安全上岸! 2026-03-16 8/400 2026-03-20 22:13 by luoyongfeng
[考研] 290求调剂 +7 ^O^乜 2026-03-19 7/350 2026-03-20 21:43 by JourneyLucky
[考研] 北科281学硕材料求调剂 +5 tcxiaoxx 2026-03-20 5/250 2026-03-20 21:35 by laoshidan
[考研] 材料学硕297已过四六级求调剂推荐 +11 adaie 2026-03-19 11/550 2026-03-20 21:30 by laoshidan
[考研] 295材料求调剂,一志愿武汉理工085601专硕 +5 Charlieyq 2026-03-19 5/250 2026-03-20 20:35 by JourneyLucky
[考研] 320求调剂0856 +3 不想起名字112 2026-03-19 3/150 2026-03-19 22:53 by 学员8dgXkO
[考研] 312求调剂 +8 陌宸希 2026-03-16 9/450 2026-03-18 12:39 by Linda Hu
[考研] 一志愿南京大学,080500材料科学与工程,调剂 +4 Jy? 2026-03-16 4/200 2026-03-17 11:02 by gaoqiong
[考研] 机械专硕325,寻找调剂院校 +3 y9999 2026-03-15 5/250 2026-03-16 19:58 by y9999
[考研] 327求调剂 +6 拾光任染 2026-03-15 11/550 2026-03-15 22:47 by 拾光任染
信息提示
请填处理意见