| ²é¿´: 1772 | »Ø¸´: 1 | ||
anÄãÈô³É·çͳæ (³õÈëÎÄ̳)
|
[ÇóÖú]
´ÎÐòͳ¼ÆÁ¿µÄÒ»¸öÎÊÌâ
|
|
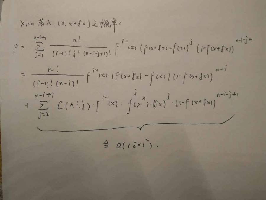
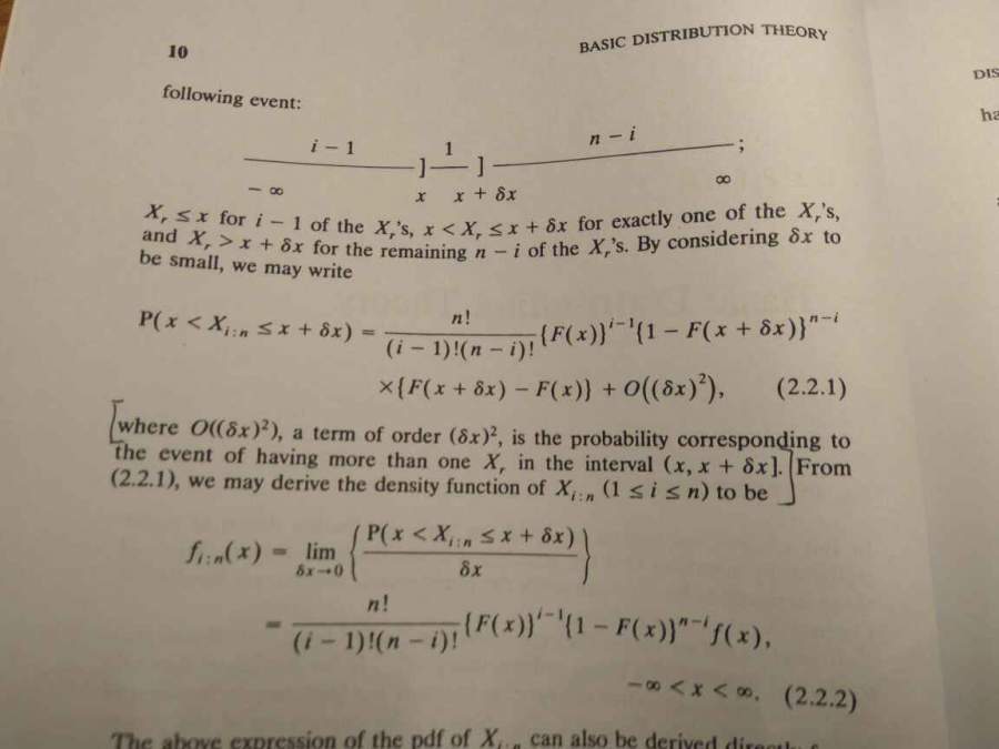
Èçͼ£¬·½À¨ºÅÖеľä×ÓÈçºÎ·ÒëÀí½â£¿ ´óOÓÖ±íʾʲô£¿ ·¢×ÔСľ³æAndroid¿Í»§¶Ë |
» ²ÂÄãϲ»¶
Çóµ÷¼Á
ÒѾÓÐ3È˻ظ´
265Çóµ÷¼Á
ÒѾÓÐ4È˻ظ´
085700×ÊÔ´Óë»·¾³308Çóµ÷¼Á
ÒѾÓÐ6È˻ظ´
Ò»Ö¾Ô¸¼ªÁÖ´óѧ²ÄÁÏѧ˶321Çóµ÷¼Á
ÒѾÓÐ12È˻ظ´
286·ÖÈ˹¤ÖÇÄÜרҵÇëÇóµ÷¼ÁÔ¸Òâ¿ç¿¼£¡
ÒѾÓÐ3È˻ظ´
329Çóµ÷¼Á
ÒѾÓÐ5È˻ظ´
ÉêÇë»Ø¸åÑÓÆÚÒ»¸öÔ£¬±à¼Í¬ÒâÁË¡£µ«ÏµÍ³ÉϵÄʱ¼äû±ä£¬¸ø±à¼ÓÖдÓʼþÁË£¬Ã»»Ø¸´
ÒѾÓÐ4È˻ظ´
²ÄÁÏѧ˶318Çóµ÷¼Á
ÒѾÓÐ5È˻ظ´
Ò»Ö¾Ô¸Öйúº£Ñó´óѧ£¬ÉúÎïѧ£¬301·Ö£¬Çóµ÷¼Á
ÒѾÓÐ6È˻ظ´
081700»¯¹¤Ñ§Ë¶µ÷¼Á
ÒѾÓÐ3È˻ظ´
anÄãÈô³É·ç
ͳæ (³õÈëÎÄ̳)
- Ó¦Öú: 1 (Ó×¶ùÔ°)
- ½ð±Ò: 128.5
- Ìû×Ó: 9
- ÔÚÏß: 3.5Сʱ
- ³æºÅ: 2540974
- ×¢²á: 2013-07-11
- ÐÔ±ð: GG
- רҵ: ÊýÀíͳ¼Æ
2Â¥2017-03-25 11:17:18













»Ø¸´´ËÂ¥
10