Znn3bq.jpeg
²é¿´: 534  |  »Ø¸´: 7

²»·ÅÆú²»·ÅÆú

гæ (СÓÐÃûÆø)


ÒÑÁìÍê
°ïÃ¦ÍÆµ¼Ò»ÏÂ
ÁìÈ¡ºì°ü (Сľ³æÊÖ»úappרÊôºì°ü)

ɨһɨ£¬ÏÂÔØÐ¡Ä¾³æ¿Í»§¶Ë

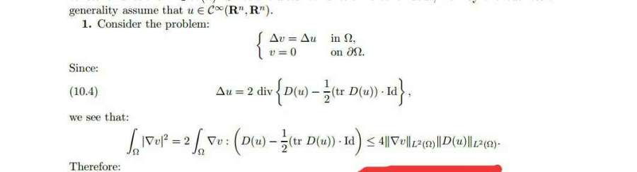
D(u)=1/2(Du+(Du)^T)£¬×îºóÒ»¸ö²»µÈºÅÔõôµÃµÄ£¿

°ïÃ¦ÍÆµ¼Ò»ÏÂ


·¢×ÔСľ³æAndroid¿Í»§¶Ë
»Ø¸´´ËÂ¥

» ²ÂÄãϲ»¶

» ÇÀ½ð±ÒÀ²£¡»ØÌû¾Í¿ÉÒԵõ½:

²é¿´È«²¿É¢½ðÌù

ÒÑÔÄ   »Ø¸´´ËÂ¥   ¹Ø×¢TA ¸øTA·¢ÏûÏ¢ ËÍTAºì»¨ TAµÄ»ØÌû
¿ÂÎ÷²»µÈʽ!
8Â¥2017-03-24 10:05:04
ÒÑÔÄ   »Ø¸´´ËÂ¥   ¹Ø×¢TA ¸øTA·¢ÏûÏ¢ ËÍTAºì»¨ TAµÄ»ØÌû
¼òµ¥»Ø¸´
2017-03-24 00:44   »Ø¸´  
²»·ÅÆú²»·ÅÆú(½ð±Ò+1): лл²ÎÓë
ÒÑ»ñµÃ1¸ö½ð±Ò ·¢×ÔСľ³æAndroid¿Í»§¶Ë
2017-03-24 00:44   »Ø¸´  
²»·ÅÆú²»·ÅÆú(½ð±Ò+1): лл²ÎÓë
ÒÑ»ñµÃ1¸ö½ð±Ò ·¢×ÔСľ³æAndroid¿Í»§¶Ë
2017-03-24 00:44   »Ø¸´  
²»·ÅÆú²»·ÅÆú(½ð±Ò+1): лл²ÎÓë
ÒÑ»ñµÃ1¸ö½ð±Ò ·¢×ÔСľ³æAndroid¿Í»§¶Ë
2017-03-24 00:44   »Ø¸´  
²»·ÅÆú²»·ÅÆú(½ð±Ò+1): лл²ÎÓë
ÒÑ»ñµÃ1¸ö½ð±Ò ·¢×ÔСľ³æAndroid¿Í»§¶Ë
jixiangbao6Â¥
2017-03-24 00:47   »Ø¸´  
²»·ÅÆú²»·ÅÆú(½ð±Ò+1): лл²ÎÓë
ÒÑ»ñµÃ1¸ö½ð±Ò ·¢×ÔСľ³æIOS¿Í»§¶Ë
wuzhenghai7Â¥
2017-03-24 00:52   »Ø¸´  
²»·ÅÆú²»·ÅÆú(½ð±Ò+1): лл²ÎÓë
ÒÑ»ñµÃ1¸ö½ð±Ò ·¢×ÔСľ³æIOS¿Í»§¶Ë
Ïà¹Ø°æ¿éÌø×ª ÎÒÒª¶©ÔÄÂ¥Ö÷ ²»·ÅÆú²»·ÅÆú µÄÖ÷Ìâ¸üÐÂ
×î¾ßÈËÆøÈÈÌûÍÆ¼ö [²é¿´È«²¿] ×÷Õß »Ø/¿´ ×îºó·¢±í
[¿¼ÑÐ] 290Çóµ÷¼Á +6 luoziheng 2026-04-10 6/300 2026-04-10 23:22 by babysonlkd
[¿¼ÑÐ] 298Çóµ÷¼Á +8 ¶¤¶£ß˶¬¹Ï 2026-04-07 10/500 2026-04-10 11:25 by ¸ßά´º
[¿¼ÑÐ] Ò»Ö¾Ô¸211 0703»¯Ñ§ 346·ÖÇóµ÷¼Á +22 ÍÁ¶¹er? 2026-04-09 23/1150 2026-04-10 10:58 by ¸ßά´º
[¿¼ÑÐ] Çóµ÷¼Á +3 µçÆø300Çóµ÷¼Á²» 2026-04-08 3/150 2026-04-10 10:19 by LHGeng
[¿¼ÑÐ] ²ÄÁÏר˶µ÷¼Á +16 ¹þ¹þ¹þºðºðºð¹þ 2026-04-07 17/850 2026-04-09 21:16 by wutongshun
[¿¼ÑÐ] ¿¼Ñе÷¼Á-²ÄÁÏÀà-284 +28 Ïë»»ÊÖ»ú²»Ïë½âÊ 2026-04-08 28/1400 2026-04-09 20:08 by µ¹Êý321?
[¿¼ÑÐ] 266Çóµ÷¼Á£¬Ò»Ö¾Ô¸¹þ¹¤³Ìµç×ÓÐÅÏ¢£¬±¾¿Æ»ñ¶àÏî¹ú½±ºÍÊ¡½± +4 lumine1 2026-04-06 4/200 2026-04-09 17:38 by vgtyfty
[¿¼ÑÐ] Çó»úеר˶297µÚ¶þÅúµ÷¼Á +5 ʰÆâ12¡£ 2026-04-08 5/250 2026-04-09 16:43 by Ôʵ±ÊʶÈ
[¿¼ÑÐ] Ò»Ö¾Ô¸ÎäÀí³µÁ¾ 281 Çóµ÷¼Á +5 Éϰ¶Ñо¿Éú. 2026-04-07 5/250 2026-04-09 15:56 by onlyÖÜ
[¿¼ÑÐ] 085501»úеӢ¶þ77×Ü·Ö294Çóµ÷¼Á£¬½ÓÊÜ¿çרҵѧϰ +6 ÊØ·¨¹«ÃñØÁ¼Í 2026-04-08 6/300 2026-04-09 15:55 by wp06
[˶²©¼ÒÔ°] ÐÂÒ»´úµç×ÓÐÅÏ¢294Çóµ÷¼Á ²»ÌôѧУ +5 Ytyt11 2026-04-09 6/300 2026-04-09 14:40 by Ytyt11
[¿¼ÑÐ] ²ÄÁϵ÷¼Á +14 Ò»ÑùYWY 2026-04-06 14/700 2026-04-08 23:00 by Öí»á·É
[¿¼ÑÐ] Èí¹¤Ñ§Ë¶299Çóµ÷¼Á +6 useryy 2026-04-07 6/300 2026-04-07 09:50 by vgtyfty
[¿¼ÑÐ] 071000ÉúÎïѧµ÷¼Á +7 À­ÌáÌÒ 2026-04-06 7/350 2026-04-06 18:55 by 52305043001
[¿¼ÑÐ] ÇóÖú +3 ¿¨¿¨¶«88 2026-04-06 4/200 2026-04-06 15:28 by going home
[¿¼ÑÐ] 085405Èí¼þ¹¤³Ì301·ÖÇóµ÷¼Á£¬×¨Ë¶¿É¿çרҵ£¬ËÄÁù¼¶Òѹý +3 ¾²¾²ÏëÏë 2026-04-05 3/150 2026-04-06 15:23 by nepu_uu
[¿¼ÑÐ] Çóµ÷¼Á +10 chenxrlkx 2026-04-05 10/500 2026-04-06 11:31 by Öí»á·É
[¿¼ÑÐ] 272Çóµ÷¼Á +4 µçÆøÀî 2026-04-05 4/200 2026-04-05 10:41 by lbsjt
[¿¼ÑÐ] ¿¼Ñе÷¼Á +3 mcbbc 2026-04-04 3/150 2026-04-05 10:03 by barlinike
[¿¼ÑÐ] 313Çóµ÷¼Á +3 º£ÈÕº£ÈÕ 2026-04-04 3/150 2026-04-05 07:48 by 544594351
ÐÅÏ¢Ìáʾ
ÇëÌî´¦ÀíÒâ¼û