| ²é¿´: 703 | »Ø¸´: 0 | ||
zchunhua3120¶Ò»»¹ó±ö
|
[ÇóÖú]
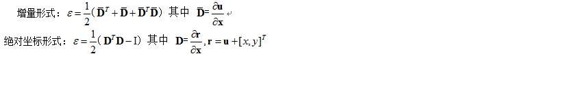
¼¸ºÎ·ÇÏßÐÔÖиñÁÖÓ¦±ä²ÉÓÃÔöÁ¿µÄÐÎʽºÍ¾ø¶Ô×ø±êÐÎʽµÄÇø±ð£¿
|
|
¶ÔÐü±ÛÁº½øÐм¸ºÎ·ÇÏßÐÔ·ÖÎö£¬·ÇÏßÐԵĸñÁÖÓ¦±ä²ÉÓÃÔöÁ¿µÄÐÎʽʱ£¬½á¹ûÊǶԵ쬵±²ÉÓþø¶Ô×ø±êµÄÐÎʽʱ£¬½á¹ûÈ´²»¶Ô£¬ÎªÊ²Ã´ÄØ£¿ ÎÞ±êÌâ.jpg |
» ²ÂÄãϲ»¶
342Çóµ÷¼Á
ÒѾÓÐ9È˻ظ´
²ÄÁÏÓ뻯¹¤µ÷¼ÁÒ»Ö¾Ô¸´óÁ¬º£ÊÂ085600£¬349
ÒѾÓÐ7È˻ظ´
Ò»Ö¾Ô¸ÎäÀí²ÄÁϹ¤³Ì302µ÷¼Á»·»¯»ò»¯¹¤
ÒѾÓÐ16È˻ظ´
311Çóµ÷¼ÁÒ»Ö¾Ô¸ºÏ·Ê¹¤Òµ´óѧ
ÒѾÓÐ12È˻ظ´
»·¾³¹¤³Ìµ÷¼Á
ÒѾÓÐ3È˻ظ´
288Çóµ÷¼Á Ò»Ö¾Ô¸¹þ¹¤´ó ²ÄÁÏÓ뻯¹¤
ÒѾÓÐ22È˻ظ´
085600£¬321·ÖÇóµ÷¼Á
ÒѾÓÐ9È˻ظ´
282Çóµ÷¼Á
ÒѾÓÐ11È˻ظ´
Ò»Ö¾Ô¸ ÄϾ©º½¿Õº½Ìì´óѧ £¬080500²ÄÁÏ¿ÆÑ§Ó빤³Ìѧ˶
ÒѾÓÐ11È˻ظ´
ÍÁľ304Çóµ÷¼Á
ÒѾÓÐ3È˻ظ´














»Ø¸´´ËÂ¥
10