| 查看: 959 | 回复: 1 | ||
[求助]
用交流阻抗法测直接甲醇燃料电池的整体阻抗的接线方法
|
||
|
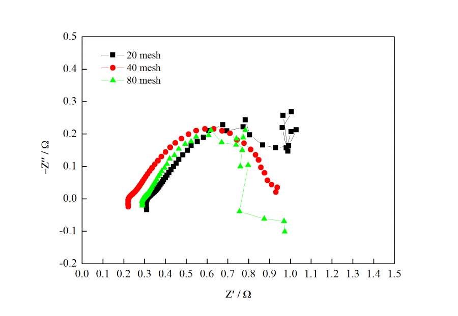
本人是做直接甲醇燃料电池的(机械专业,所以有点跨学科),以前测电池主要是用电子负载测电池的I-V曲线。最近投了一篇文章,审稿人提出需要补充交流阻抗测试。我之前没做过,所以想请问各位大神,如果我要测电池的整体阻抗,工作电极(WE)应该接电池的阳极还是阴极?参比电极(RE)和对电极(CE)呢? 我用的电化学工作站是Autolab的PGSTAT302N,当我把WE接阳极、RE和CE接阴极的时候测得的开路电压是负值,把WE接阴极、RE和CE接阳极的时候测得的开路电压是正值。之前我采用WE接阴极的接法,使用恒压法(Potentiostatic)分别测电池在开路和0.2V偏压下(此时的放电电流是负值)的交流阻抗,频率为10KHz-0.01Hz,振幅5mV。此时我得到的开路交流阻抗和0.2V下的交流阻抗分别如图1、2所示(图中的20、40、80mesh表示不同的电池阴极集流网目数)。结果开路曲线呈现很大的弧,而0.2V曲线在低频又很散。请问我的测试方法正确吗? 图1 开路 图2 0.2V@langzhizhou@Gamry-电化学 |
» 猜你喜欢
上海工程技术大学生态与功能纺织品开发研究团队招收学硕专硕研究生
已经有0人回复
华南理工0703求调剂,总分336四六级已过
已经有2人回复
分析化学论文润色/翻译怎么收费?
已经有57人回复
青岛大学化学化工学院2026年招收调剂硕士研究生
已经有0人回复
新能源材料方向考研调剂招生(长江师范学院)
已经有0人回复
0854电子信息272求调剂!
已经有0人回复
化学-化工-材料-食品-生物-环境2026年研究生调剂(可以不考数学)
已经有0人回复
化学-化工-材料-食品-生物-环境-农业 2026年研究生调剂(可以不考数学)
已经有1人回复
070300一志愿211,312分求调剂院校
已经有4人回复
26年储能、电池方向博士申请
已经有0人回复
070300化学求调剂
已经有2人回复
2楼2017-03-23 14:32:12














回复此楼