| 查看: 1558 | 回复: 1 | ||
[求助]
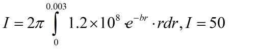
请问这个定积分方程怎么解
|
|
b为所要求的变量,把定积分的右边求出来是一个超越方程,实在是不知道如何下手,求大神!!! 发自小木虫Android客户端 |
» 猜你喜欢
上海电力大学材料防护与新材料重点实验室招收调剂研究生(材料、化学、电化学,环境)
已经有4人回复
材料学求调剂
已经有6人回复
303求调剂
已经有5人回复
一志愿武理085500机械专业总分300求调剂
已经有7人回复
考研调剂
已经有4人回复
281求调剂
已经有4人回复
0805 316求调剂
已经有6人回复
085601求调剂总分293英一数二
已经有3人回复
08工学调剂
已经有17人回复
340求调剂
已经有4人回复
2楼2017-03-23 22:27:55













回复此楼
20