| 查看: 521 | 回复: 1 | ||
[求助]
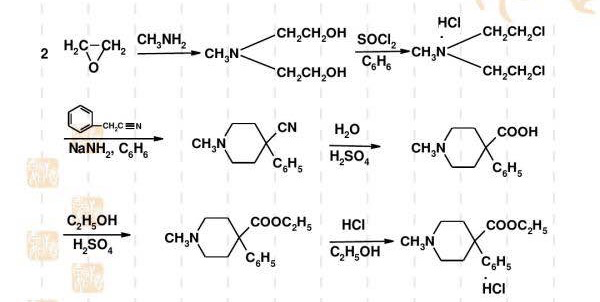
求助大神看合成路线讲述
|
|
希望看路线,用文献方式说出合成方法。拜谢 @lifeliuyan 发自小木虫IOS客户端 |
» 猜你喜欢
学硕274求调剂
已经有11人回复
一志愿郑大材料工程290求调剂
已经有12人回复
环境工程 085701,267求调剂
已经有8人回复
083000学硕274求调剂
已经有10人回复
一志愿085600中科院宁波所276分求调剂
已经有4人回复
材料专业申博
已经有3人回复
307求调剂
已经有20人回复
285求调剂
已经有8人回复
材料与化工(0856)304求B区调剂
已经有8人回复
370求调剂
已经有3人回复
2楼2017-03-24 16:15:35














回复此楼