24小时热门版块排行榜    

Znn3bq.jpeg
查看: 546  |  回复: 1

springer_

木虫 (著名写手)


[交流] 发一个消元法解方程组代码

算法参考相关书籍

发一个消元法解方程组代码
170320-0.PNG


发一个消元法解方程组代码-1
170320-1.PNG


发一个消元法解方程组代码-2
170320-2.PNG
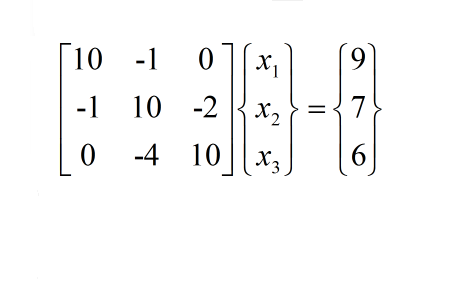
用下面的方程组验证:
发一个消元法解方程组代码-3
170320-3.PNG

输出结果:
发一个消元法解方程组代码-4
170320-6.PNG
回复此楼

» 本帖附件资源列表

  • 欢迎监督和反馈:小木虫仅提供交流平台,不对该内容负责。
    本内容由用户自主发布,如果其内容涉及到知识产权问题,其责任在于用户本人,如对版权有异议,请联系邮箱:xiaomuchong@tal.com
  • 附件 1 : 代码.rar
  • 2017-03-20 20:58:21, 985 bytes

» 猜你喜欢

» 抢金币啦!回帖就可以得到:

查看全部散金贴

已阅   回复此楼   关注TA 给TA发消息 送TA红花 TA的回帖
简单回复
2017-03-20 21:03   回复  
相关版块跳转 我要订阅楼主 springer_ 的主题更新
普通表情 高级回复 (可上传附件)
最具人气热帖推荐 [查看全部] 作者 回/看 最后发表
[文学芳草园] 半夜喝咖啡 +3 myrtle 2026-05-15 5/250 2026-05-18 01:03 by 小沈2018
[基金申请] 面上本子正文33页,违规吗?会被低分嘛? +5 1234567wang 2026-05-17 6/300 2026-05-17 21:18 by maxjing
[找工作] 售SCI一区T0P文章,我:8.O.5.5.1.O.5.4,科目齐全,可+急 +5 l7k6xnh0yc 2026-05-14 5/250 2026-05-17 19:39 by Equinoxhua
[考博] 找博士生导师 +4 小代想上岸 2026-05-15 5/250 2026-05-17 17:44 by 脱颖而出
[基金申请] 这年头没有找到涵评专家,还有中面上的可能吗 +13 dd921ww 2026-05-12 16/800 2026-05-17 12:38 by 于轩
[考研] 售SCI一区T0P文章,我:8.O.5.5.1.O.5.4,科目齐全,可+急 +4 v9tggjlwd0 2026-05-15 4/200 2026-05-17 08:11 by 11n4dfd8yn
[硕博家园] 售SCI一区T0P文章,我:8.O.5.5.1.O.5.4,科目齐全,可+急 +4 v9tggjlwd0 2026-05-15 4/200 2026-05-17 08:06 by 11n4dfd8yn
[找工作] 售SCI一区T0P文章,我:8.O.5.5.1.O.5.4,科目齐全,可+急 +3 l7k6xnh0yc 2026-05-14 6/300 2026-05-17 07:31 by 11n4dfd8yn
[考研] 售SCI一区T0P文章,我:8.O.5.5.1.O.5.4,科目齐全,可+急 +4 l7k6xnh0yc 2026-05-14 8/400 2026-05-17 07:26 by 11n4dfd8yn
[公派出国] 售SCI一区T0P文章,我:8.O.5.5.1.O.5.4,科目齐全,可+急 +6 l7k6xnh0yc 2026-05-14 6/300 2026-05-17 07:16 by 11n4dfd8yn
[论文投稿] 售SCI一区T0P文章,我:8.O.5.5.1.O.5.4,科目齐全,可+急 +3 k37jurhrau 2026-05-16 3/150 2026-05-17 01:25 by ue3ir18jc3
[论文投稿] 售SCI一区T0P文章,我:8.O.5.5.1.O.5.4,科目齐全,可+急 +4 ky2p12rrjj 2026-05-15 5/250 2026-05-17 01:10 by ue3ir18jc3
[基金申请] 精华III评审感受-评审感受-评审感受 +16 ferrarichen 2026-05-11 20/1000 2026-05-17 01:10 by 南开小綦
[考研] 售SCI一区T0P文章,我:8.O.5.5.1.O.5.4,科目齐全,可+急 +3 ky2p12rrjj 2026-05-15 4/200 2026-05-17 00:50 by ue3ir18jc3
[硕博家园] 售SCI一区T0P文章,我:8.O.5.5.1.O.5.4,科目齐全,可+急 +3 ky2p12rrjj 2026-05-15 3/150 2026-05-17 00:45 by ue3ir18jc3
[公派出国] 售SCI一区T0P文章,我:8.O.5.5.1.O.5.4,科目齐全,可+急 +3 x0mp7owy2b 2026-05-15 4/200 2026-05-17 00:35 by ue3ir18jc3
[基金申请] 请问大佬b0816评完了吗 +4 市民华南虎 2026-05-12 8/400 2026-05-16 19:54 by Equinoxhua
[高分子] 本人最近太闲了,谁有问题可以提,每天会统一回复 +9 一切都是空工 2026-05-12 20/1000 2026-05-16 19:52 by Equinoxhua
[有机交流] 求助2,4-二氯-5-嘧啶甲醛的合成方法 20+3 光吃不拉 2026-05-14 6/300 2026-05-16 19:46 by Equinoxhua
[有机交流] 如何实现卤原子转化 +3 BT20230424 2026-05-15 5/250 2026-05-16 16:20 by czyzsu
信息提示
请填处理意见