| ²é¿´: 370 | »Ø¸´: 0 | ||
hky422½ð³æ (ÕýʽдÊÖ)
|
[ÇóÖú]
»»ÈÈ·½³Ì×¼Ôò·½³ÌÄâºÏ·½·¨
|
|
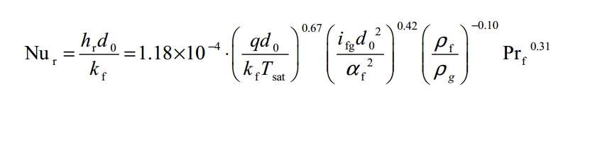
ÎÒÏÖÔÚÔÚ×öÓлú¹¤ÖʵĻ»ÈÈʵÑ飬ĿǰÇóµÃ²»Í¬ ¹¤¿öµÄ»»ÈÈϵÊý£¬ÏëÄâºÏ³É»»ÈÈ×¼Ôò·½³Ì£¬ÀàËÆÏÂͼËùʾ¡£ Çó´óÉñÖ¸µãÒ»¶þ¡£ÎÒÖªµÀmatlab¿ÉÒÔʵÏÖ£¬²»ÖªµÀ¾ßÌå²½Ö裬ÏëÎÊÏ£¬origin¿ÉÒÔʵÏÖÂ𣿠»»ÈÈ×¼Ôò·½³Ì.jpg |
» ²ÂÄãϲ»¶
¿¼Ñе÷¼Á
ÒѾÓÐ4È˻ظ´
281Çóµ÷¼Á
ÒѾÓÐ4È˻ظ´
0805 316Çóµ÷¼Á
ÒѾÓÐ6È˻ظ´
085601Çóµ÷¼Á×Ü·Ö293Ó¢Ò»Êý¶þ
ÒѾÓÐ3È˻ظ´
08¹¤Ñ§µ÷¼Á
ÒѾÓÐ17È˻ظ´
340Çóµ÷¼Á
ÒѾÓÐ4È˻ظ´
311Çóµ÷¼Á
ÒѾÓÐ3È˻ظ´
ʳƷר˶ һ־Ը˫һÁ÷ 328
ÒѾÓÐ4È˻ظ´
²ÄÁϵ÷¼Á
ÒѾÓÐ6È˻ظ´
300·Ö£¬²ÄÁÏ£¬Çóµ÷¼Á£¬Ó¢Ò»Êý¶þ
ÒѾÓÐ5È˻ظ´














»Ø¸´´ËÂ¥