| 查看: 875 | 回复: 3 | ||
zhang2003174至尊木虫 (职业作家)
|
[求助]
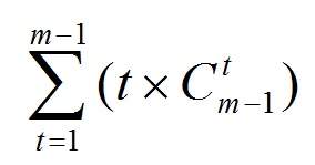
一个排列组合公式的计算问题
|
|
|
|
||
i维数木虫 (正式写手)
|
★ ★ ★ ★ ★ ★ ★ ★ ★ ★
zhang2003174(Edstrayer代发): 金币+10 2017-03-19 02:27:25
» 本帖已获得的红花(最新10朵) |
|
|
2楼2017-03-18 12:30:57
|
|
|
zhang2003174至尊木虫 (职业作家)
|
||
|
3楼2017-03-18 22:43:35
|
|
|
zhang2003174至尊木虫 (职业作家)
|
||
|
4楼2017-03-18 22:44:13
|
|













回复此楼
zhang2003174