| ²é¿´: 1986 | »Ø¸´: 6 | ||
º«²¨Ç×Ç×гæ (ÕýʽдÊÖ)
|
[ÇóÖú]
¹ØÓÚpade±Æ½ü£¬Óе㿴²»¶® ÒÑÓÐ1È˲ÎÓë
|
|
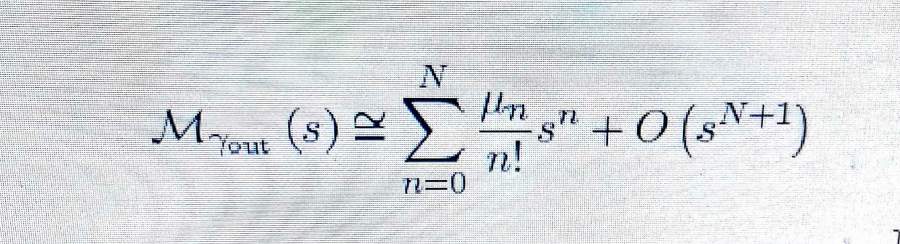
¶Ôº¯ÊýM(S)pade±Æ½ü£¬¹«Ê½£¨26£©pade±Æ½üÊÇÈçºÎÍÆµ¼³ö×îºóµÄÄǸö½á¹û£¿»¹ÓÐÎÄÏ×˵µÄ¼«µãºÍÓàÏî¸ÃÈçºÎÇóµÃ£¿ ·¢×ÔСľ³æAndroid¿Í»§¶Ë |
» ²ÂÄãϲ»¶
Çóµ÷¼Á
ÒѾÓÐ3È˻ظ´
265Çóµ÷¼Á
ÒѾÓÐ4È˻ظ´
085700×ÊÔ´Óë»·¾³308Çóµ÷¼Á
ÒѾÓÐ6È˻ظ´
Ò»Ö¾Ô¸¼ªÁÖ´óѧ²ÄÁÏѧ˶321Çóµ÷¼Á
ÒѾÓÐ12È˻ظ´
286·ÖÈ˹¤ÖÇÄÜרҵÇëÇóµ÷¼ÁÔ¸Òâ¿ç¿¼£¡
ÒѾÓÐ3È˻ظ´
329Çóµ÷¼Á
ÒѾÓÐ5È˻ظ´
ÉêÇë»Ø¸åÑÓÆÚÒ»¸öÔ£¬±à¼Í¬ÒâÁË¡£µ«ÏµÍ³ÉϵÄʱ¼äû±ä£¬¸ø±à¼ÓÖдÓʼþÁË£¬Ã»»Ø¸´
ÒѾÓÐ4È˻ظ´
²ÄÁÏѧ˶318Çóµ÷¼Á
ÒѾÓÐ5È˻ظ´
Ò»Ö¾Ô¸Öйúº£Ñó´óѧ£¬ÉúÎïѧ£¬301·Ö£¬Çóµ÷¼Á
ÒѾÓÐ6È˻ظ´
081700»¯¹¤Ñ§Ë¶µ÷¼Á
ÒѾÓÐ3È˻ظ´
zhihaogong25
½ð³æ (ÕýʽдÊÖ)
- Ó¦Öú: 5 (Ó×¶ùÔ°)
- ½ð±Ò: 624.1
- É¢½ð: 654
- ºì»¨: 7
- ɳ·¢: 5
- Ìû×Ó: 738
- ÔÚÏß: 614.5Сʱ
- ³æºÅ: 1659139
- ×¢²á: 2012-03-02
- ÐÔ±ð: GG
- רҵ: Äý¾Û̬ÎïÐÔ II £ºµç×ӽṹ
2Â¥2017-03-16 21:05:14
º«²¨Ç×Ç×
гæ (ÕýʽдÊÖ)
- Ó¦Öú: 0 (Ó×¶ùÔ°)
- ½ð±Ò: 1499
- É¢½ð: 365
- ºì»¨: 2
- Ìû×Ó: 435
- ÔÚÏß: 121.8Сʱ
- ³æºÅ: 4757824
- ×¢²á: 2016-06-06
- רҵ: ͨÐÅÀíÂÛÓëϵͳ
3Â¥2017-03-16 21:12:08
|
¶¥Ò»Ï ·¢×ÔСľ³æAndroid¿Í»§¶Ë |
4Â¥2017-03-16 21:34:19
º«²¨Ç×Ç×
гæ (ÕýʽдÊÖ)
- Ó¦Öú: 0 (Ó×¶ùÔ°)
- ½ð±Ò: 1499
- É¢½ð: 365
- ºì»¨: 2
- Ìû×Ó: 435
- ÔÚÏß: 121.8Сʱ
- ³æºÅ: 4757824
- ×¢²á: 2016-06-06
- רҵ: ͨÐÅÀíÂÛÓëϵͳ
5Â¥2017-03-17 11:48:05
mmyu75
гæ (ÖøÃûдÊÖ)
- Ó¦Öú: 5 (Ó×¶ùÔ°)
- ½ð±Ò: 7101.9
- É¢½ð: 509
- ºì»¨: 7
- Ìû×Ó: 1871
- ÔÚÏß: 441.1Сʱ
- ³æºÅ: 1439208
- ×¢²á: 2011-10-12
- רҵ: Ô˳ïÓë¹ÜÀí
¡¾´ð°¸¡¿Ó¦Öú»ØÌû
¸Ðл²ÎÓ룬ӦÖúÖ¸Êý +1
| ͬѧÎÒÀ´¸øÄã×÷¸ö½âÊÍ£¬ÒòΪ±¾ÈË×î½üÒ²ÀûÓÃPade±Æ½üдÁËһƪÂÛÎÄ£¬ÇÒ±»½ÓÊÕ¡£ÄãÎʵģ¨26£©Ê½ÖеÈʽΪºÎÏàµÈ£¬ÄǸö¶«Î÷½Ð×ö¡°ÓÐÀíº¯ÊýµÄ²¿·Ö·Öʽչ¿ªÐÎʽ¡±p_iÊÇÖ¸µÄ·Öĸ¶àÏîʽÔÚÕû¸ö¸´Æ½ÃæÄڵĸù£¬¶ølambda_iÖ¸µÄÊDz¿·Ö·Öʽ·Ö½âʱ²úÉúµÄϵÊý£¬¼ÆËãÕâ¸öϵÊýÎÒÒ»°ãÓø´·ÖÎöµÄÁôÊý¹«Ê½±à³Ì¼ÆËã¡£ |
» ±¾ÌûÒÑ»ñµÃµÄºì»¨£¨×îÐÂ10¶ä£©
6Â¥2017-03-19 08:47:12
º«²¨Ç×Ç×
гæ (ÕýʽдÊÖ)
- Ó¦Öú: 0 (Ó×¶ùÔ°)
- ½ð±Ò: 1499
- É¢½ð: 365
- ºì»¨: 2
- Ìû×Ó: 435
- ÔÚÏß: 121.8Сʱ
- ³æºÅ: 4757824
- ×¢²á: 2016-06-06
- רҵ: ͨÐÅÀíÂÛÓëϵͳ
7Â¥2017-03-19 12:20:02













»Ø¸´´ËÂ¥
º«²¨Ç×Ç×