±±¾©Ê¯ÓÍ»¯¹¤Ñ§Ôº2026ÄêÑо¿ÉúÕÐÉú½ÓÊÕµ÷¼Á¹«¸æ
²é¿´: 1454  |  »Ø¸´: 12

µ¹Ã¹µÄº¢×Ó

½ð³æ (ÕýʽдÊÖ)


[½»Á÷] ¹ØÓڵ绯ѧ²âÊÔÖÐNyquistͼºÍBodeͼÖÐ¸ßÆµÒì³£

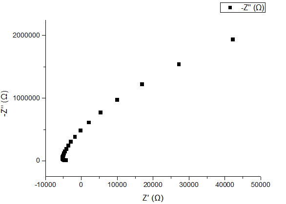
ÓÐË­ÖªµÀÏÂͼÖÐµÄ¸ßÆµ²¿·Ö£¨Ïàλ½Ç´óÓÚ90£©ÊÇÔõô»ØÊÂô£¿Ôõô½â¾ö£¿

¹ØÓڵ绯ѧ²âÊÔÖÐNyquistͼºÍBodeͼÖÐ¸ßÆµÒì³£
²¶»ñ1.PNG


¹ØÓڵ绯ѧ²âÊÔÖÐNyquistͼºÍBodeͼÖÐ¸ßÆµÒì³£-1
²¶»ñ2.PNG
»Ø¸´´ËÂ¥

» ²ÂÄãϲ»¶

» ÇÀ½ð±ÒÀ²£¡»ØÌû¾Í¿ÉÒԵõ½:

²é¿´È«²¿É¢½ðÌù

ÒÑÔÄ   »Ø¸´´ËÂ¥   ¹Ø×¢TA ¸øTA·¢ÏûÏ¢ ËÍTAºì»¨ TAµÄ»ØÌû

ÏãÕÁÖ®ÏÄ

Òø³æ (ÕýʽдÊÖ)


¡ï
µ¹Ã¹µÄº¢×Ó(½ð±Ò+1): лл²ÎÓë
9Â¥2017-03-15 15:31:58
ÒÑÔÄ   »Ø¸´´ËÂ¥   ¹Ø×¢TA ¸øTA·¢ÏûÏ¢ ËÍTAºì»¨ TAµÄ»ØÌû

»ØÊ×ÝëÈË

½û³æ (ÖªÃû×÷¼Ò)

¡ï
µ¹Ã¹µÄº¢×Ó(½ð±Ò+1): лл²ÎÓë
±¾ÌûÄÚÈݱ»ÆÁ±Î

12Â¥2017-03-15 15:44:42
ÒÑÔÄ   »Ø¸´´ËÂ¥   ¹Ø×¢TA ¸øTA·¢ÏûÏ¢ ËÍTAºì»¨ TAµÄ»ØÌû

qt°¡°¡

гæ (СÓÐÃûÆø)


¡ï
µ¹Ã¹µÄº¢×Ó(½ð±Ò+1): лл²ÎÓë
ÄúºÃ£¬ÇëÎÊÄúµÄÎÊÌâ×îºóÊÇÔõô½â¾öµÄÄØ£¿ÎÒ×î½üÒ²Óöµ½ÁËͬÑùµÄÎÊÌâ¡£ÆÚ´ýÄúµÄ»Ø¸´
13Â¥2022-11-23 15:04:53
ÒÑÔÄ   »Ø¸´´ËÂ¥   ¹Ø×¢TA ¸øTA·¢ÏûÏ¢ ËÍTAºì»¨ TAµÄ»ØÌû
¼òµ¥»Ø¸´
nono20092Â¥
2017-03-15 15:15   »Ø¸´  
µ¹Ã¹µÄº¢×Ó(½ð±Ò+1): лл²ÎÓë
yaoyao1453Â¥
2017-03-15 15:19   »Ø¸´  
µ¹Ã¹µÄº¢×Ó(½ð±Ò+1): лл²ÎÓë
2017-03-15 15:20   »Ø¸´  
µ¹Ã¹µÄº¢×Ó(½ð±Ò+1): лл²ÎÓë
2017-03-15 15:21   »Ø¸´  
µ¹Ã¹µÄº¢×Ó(½ð±Ò+1): лл²ÎÓë
xhmaohan6Â¥
2017-03-15 15:23   »Ø¸´  
µ¹Ã¹µÄº¢×Ó(½ð±Ò+1): лл²ÎÓë
·¢×ÔСľ³æAndroid¿Í»§¶Ë
2017-03-15 15:28   »Ø¸´  
µ¹Ã¹µÄº¢×Ó(½ð±Ò+1): лл²ÎÓë
×£¸£ ·¢×ÔСľ³æIOS¿Í»§¶Ë
2017-03-15 15:29   »Ø¸´  
µ¹Ã¹µÄº¢×Ó(½ð±Ò+1): лл²ÎÓë
¡£ ·¢×ÔСľ³æAndroid¿Í»§¶Ë
lijdoc10Â¥
2017-03-15 15:34   »Ø¸´  
µ¹Ã¹µÄº¢×Ó(½ð±Ò+1): лл²ÎÓë
2017-03-15 15:34   »Ø¸´  
µ¹Ã¹µÄº¢×Ó(½ð±Ò+1): лл²ÎÓë
^_^ ·¢×ÔСľ³æIOS¿Í»§¶Ë
Ïà¹Ø°æ¿éÌø×ª ÎÒÒª¶©ÔÄÂ¥Ö÷ µ¹Ã¹µÄº¢×Ó µÄÖ÷Ìâ¸üÐÂ
×î¾ßÈËÆøÈÈÌûÍÆ¼ö [²é¿´È«²¿] ×÷Õß »Ø/¿´ ×îºó·¢±í
[¿¼ÑÐ] 316Çóµ÷¼Á +5 ½­´Ç666 2026-03-26 5/250 2026-03-27 08:08 by hypershenger
[¿¼ÑÐ] Çóµ÷¼ÁÍÆ¼ö ²ÄÁÏ 304 +5 ºÉ°üµ°hyj 2026-03-26 5/250 2026-03-27 08:07 by hypershenger
[˶²©¼ÒÔ°] ÕÐÊÕÉúÎïѧ/ϸ°ûÉúÎïѧµ÷¼Á +3 IceGuo 2026-03-26 4/200 2026-03-27 05:35 by user003
[¿¼ÑÐ] 343Çóµ÷¼Á +4 ÔùÎÒÒ»±¾Êé 2026-03-23 4/200 2026-03-27 00:40 by wxiongid
[¿¼ÑÐ] 071000ÉúÎïѧÇóµ÷¼Á£¬³õÊԳɼ¨343 +6 ССÌðÃæÍÅ 2026-03-25 6/300 2026-03-26 23:01 by ²»³Ôô~µÄ؈
[¿¼ÑÐ] 333Çóµ÷¼Á +6 wfh030413@ 2026-03-23 6/300 2026-03-26 22:45 by ѧԱ8dgXkO
[¿¼ÑÐ] 324Çóµ÷¼Á +4 wysyjs25 2026-03-21 4/200 2026-03-26 20:38 by fmesaito
[¿¼ÑÐ] 0703»¯Ñ§Çóµ÷¼Á +3 µ¤ÇàÄÌ¸Ç 2026-03-26 5/250 2026-03-26 20:11 by macy2011
[¿¼ÑÐ] Ò»Ö¾Ô¸ÄϺ½ 335·Ö | 0856²ÄÁÏ»¯¹¤ | GPA 4.07 | ÓпÆÑо­Àú +6 cccchenso 2026-03-23 6/300 2026-03-25 22:25 by 544594351
[¿¼ÑÐ] 299Çóµ÷¼Á +7 ijijijijλ 2026-03-21 8/400 2026-03-25 20:34 by ÈÈÇéɳĮ
[¿¼ÑÐ] »¯Ñ§µ÷¼Á +6 yzysaa 2026-03-21 6/300 2026-03-25 09:27 by aa331100
[¿¼ÑÐ] ÉúÎïѧѧ˶Çóµ÷¼Á +7 СÑò˯×ÅÁË? 2026-03-23 10/500 2026-03-25 02:24 by Çå·ç·÷Ñï¡£ m
[¿¼ÑÐ] ²ÄÁÏѧÇóµ÷¼Á +6 Stella_Yao 2026-03-20 6/300 2026-03-25 00:37 by baoball
[¿¼ÑÐ] 0703»¯Ñ§µ÷¼Á£¬Çóµ¼Ê¦ÊÕ +7 ÌìÌìºÃÔËÀ´Éϰ¶° 2026-03-24 7/350 2026-03-24 20:26 by peike
[¿¼ÑÐ] 306Çó0703µ÷¼ÁÒ»Ö¾Ô¸»ªÖÐʦ·¶ +10 Ö½Óãly 2026-03-21 11/550 2026-03-24 17:22 by qingfeng258
[¿¼ÑÐ] Ò»Ö¾Ô¸¼ª´ó»¯Ñ§322Çóµ÷¼Á +4 17501029541 2026-03-23 6/300 2026-03-24 10:21 by ´÷Χ²±µÄСÎÃ×Ó
[»ù½ðÉêÇë] Çë½ÌÏ´ó¼Ò 2026Äê¹ú¼Ò»ù½ðÉêÇëÊÇ˫äÉóÂ𣿠+3 lishucheng1 2026-03-22 5/250 2026-03-24 08:22 by gltch
[¿¼ÑÐ] 285Çóµ÷¼Á +6 ytter 2026-03-22 6/300 2026-03-22 12:09 by ÐÇ¿ÕÐÇÔÂ
[¿¼ÑÐ] Çóµ÷¼Á +3 .m.. 2026-03-21 4/200 2026-03-21 16:25 by barlinike
[¿¼ÑÐ] 261ÇóBÇøµ÷¼Á£¬¿ÆÑо­Àú·á¸» +3 Å£Ä̺Üæ 2026-03-20 4/200 2026-03-20 19:34 by JourneyLucky
ÐÅÏ¢Ìáʾ
ÇëÌî´¦ÀíÒâ¼û