| 查看: 1281 | 回复: 4 | ||
[求助]
循环伏安分析 已有1人参与
|
|
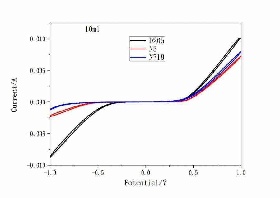
是测的电视。对电极是铂电极,工作电极是涂了材料的FTO. 请问图中循环伏安曲线有峰吗?是闭合的吗?曲线围成的面积和电流大小有相对关系吗?就是说能说明红线比黑线电流更大吗? 本人对循环伏安不太熟,刚测试的,和文献中的图很有不同。不知道这是不是正儿八经的循环伏安曲线。求各位大神指点一下。 发自小木虫Android客户端 |
» 猜你喜欢
深圳大学博士招生(2026秋,传感器方向)
已经有27人回复
浙江工业大学能源与碳中和科教融合学院申请考核制招生
已经有2人回复
冶金与矿业论文润色/翻译怎么收费?
已经有117人回复
【博士招生】AI+材料/能源及海上能源岛方向有若干申请考核制名额
已经有20人回复
求一份现成的锂电三元正极材料生产过程三维动画演示视频
已经有0人回复
双一流南京林业大学材料院招收申请-考核博士生,林业/材料/化学相关或近似专业
已经有1人回复
二氧化锡核二氧化铈壳掺杂钴
已经有0人回复
上海理工大学-赵斌教授课题组招收申请考核制博士
已经有15人回复
江西理工大学 稀土学院(发光材料与器件研究所) 招收2026届 材料类博士研究生 2名
已经有46人回复
【博士招生】深圳大学-光学方向-招收2026秋
已经有3人回复
» 本主题相关商家推荐: (我也要在这里推广)
PhD2017lovez
新虫 (正式写手)
- 应助: 0 (幼儿园)
- 金币: 1549.1
- 帖子: 332
- 在线: 27.4小时
- 虫号: 5440405
- 注册: 2017-01-04
- 专业: 材料物理化学
2楼2017-03-13 22:38:57
PhD2017lovez
新虫 (正式写手)
- 应助: 0 (幼儿园)
- 金币: 1549.1
- 帖子: 332
- 在线: 27.4小时
- 虫号: 5440405
- 注册: 2017-01-04
- 专业: 材料物理化学
3楼2017-03-13 22:41:49
PhD2017lovez
新虫 (正式写手)
- 应助: 0 (幼儿园)
- 金币: 1549.1
- 帖子: 332
- 在线: 27.4小时
- 虫号: 5440405
- 注册: 2017-01-04
- 专业: 材料物理化学
4楼2017-03-13 22:42:19
感谢参与,应助指数 +1
|
本帖内容被屏蔽 |
5楼2017-03-15 16:00:10













回复此楼
