| 查看: 1182 | 回复: 14 | |||
[交流]
用chi760e做不锈钢晶间腐蚀时遇到的问题
|
|
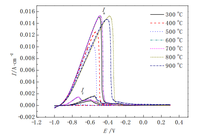
我用chi760e的循环伏安法做不锈钢的晶间腐蚀,得到的曲线是倒的,这是怎么回事? 文献上的图如下 捕获.PNG [ Last edited by yan隐身可见 on 2017-3-13 at 13:42 ] |
» 猜你喜欢
核磁分析软件MestReNova打开文件时报错
已经有0人回复
在职博后不能申请博后基金了,那么在职博后意义何在?
已经有2人回复
物理化学论文润色/翻译怎么收费?
已经有195人回复
青岛大学化学化工学院分子测量学研究院2026年招收博士研究生
已经有0人回复
香港科技大学(广州)诚招电催化方向博士生(2026秋入学)
已经有0人回复
求助Cu2+1O的CIF文件(PDF: 05-0667)
已经有1人回复
KAUST(阿卜杜拉国王科技大学)MXene 器件方向博士后招聘
已经有0人回复
沙特阿拉伯阿卜杜拉国王科技大学(KAUST)电池方向博士后招聘
已经有0人回复
福州大学新能源材料与工程研究院招收2026年入学博士
已经有0人回复
2楼2017-03-12 23:42:59
3楼2017-03-13 00:02:00
4楼2017-03-13 00:04:01
5楼2017-03-13 07:12:26
6楼2017-03-13 07:32:35
7楼2017-03-13 09:54:38
123just
金虫 (正式写手)
- 应助: 133 (高中生)
- 金币: 2908.7
- 散金: 20
- 红花: 26
- 帖子: 508
- 在线: 213.2小时
- 虫号: 1159825
- 注册: 2010-12-01
- 性别: GG
- 专业: 电化学

8楼2017-03-13 10:47:10

9楼2017-03-13 13:20:58
10楼2017-03-13 13:33:37












回复此楼