| ²é¿´: 3185 | »Ø¸´: 3 | ||
pfc1991½ð³æ (ÕýʽдÊÖ)
|
[ÇóÖú]
Çë½Ì¸ù¾ÝÒ©´ú¶¯Á¦Ê±¼äÇúÏß¼ÆËã°ëË¥ÆÚ
|
|
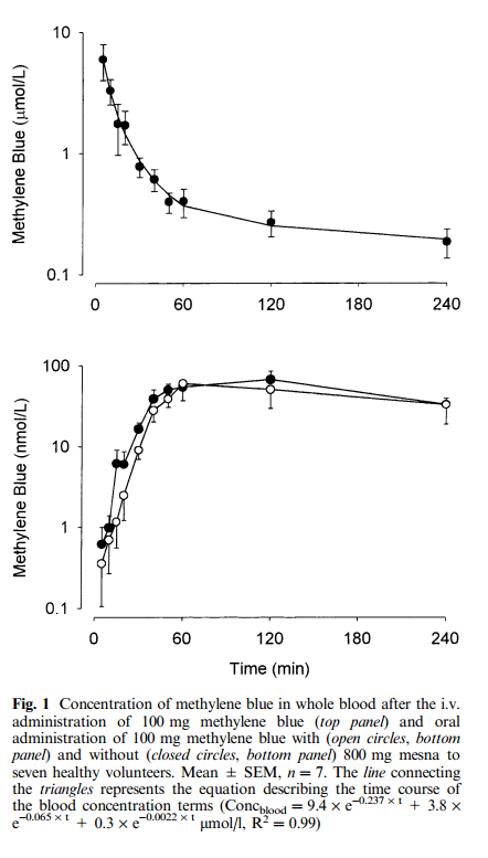
²ÄÁϳöÉú£¬1£¬Çë½Ì¸ù¾ÝÏÂͼÖÐÉÏÃæµÄÒ»¸ö¾²Âö×¢ÉäÒ©´ú¶¯Á¦Ê±¼äÇúÏß¼ÆËã°ëË¥ÆÚ£¿ 2£¬Çë½Ì×Ý×ø±êµÄµ¥Î»ÎªÊ²Ã´ÊÇ´Ó0.1µ½1£¬È»ºóµ½10£¬ÕâÑù²»×¼µÈµÄ±ä»¯£¿ YI9ZFRS2TIVB@0S%NSP$DF2.png |
» ²ÂÄãϲ»¶
297Çóµ÷¼Á
ÒѾÓÐ12È˻ظ´
26µ÷¼Á 086003
ÒѾÓÐ3È˻ظ´
265Çóµ÷¼Á
ÒѾÓÐ20È˻ظ´
271·ÖÇóµ÷¼ÁѧУ
ÒѾÓÐ11È˻ظ´
320·ÖÈ˹¤ÖÇÄܵ÷¼Á
ÒѾÓÐ6È˻ظ´
Çóµ÷¼Á£¬Ò»Ö¾Ô¸ÄϾ©º½¿Õº½Ìì´óѧ £¬080500²ÄÁÏ¿ÆÑ§Ó빤³Ìѧ˶
ÒѾÓÐ8È˻ظ´
280Çóµ÷¼Á
ÒѾÓÐ19È˻ظ´
Çó²ÄÁϵ÷¼Á£¬Ò»Ö¾Ô¸Ö£ÖÝ´óѧ289·Ö
ÒѾÓÐ15È˻ظ´
26¿¼Ñе÷¼Á0710 0860
ÒѾÓÐ6È˻ظ´
282Çóµ÷¼Á
ÒѾÓÐ22È˻ظ´
» ±¾Ö÷ÌâÏà¹ØÉ̼ÒÍÆ¼ö: (ÎÒÒ²ÒªÔÚÕâÀïÍÆ¹ã)
Matt Luo
гæ (ÕýʽдÊÖ)
- Ó¦Öú: 3 (Ó×¶ùÔ°)
- ½ð±Ò: 791.9
- ºì»¨: 15
- Ìû×Ó: 652
- ÔÚÏß: 72.6Сʱ
- ³æºÅ: 3991348
- ×¢²á: 2015-07-26
- רҵ: ÉúÎï¼¼ÊõÒ©Îï
|
1.ÒªÓÐÍêÕûÊý¾Ý¼ÆË㣬¿´Õâ¸öÓ¦¸ÃÊǸù¾Ý·¿ÊÒÀ´¼ÆËã°ëË¥ÆÚµÄ¡£ 2.ÒòΪÕâÊǰë¶ÔÊýͼ¡£ ·¢×ÔСľ³æAndroid¿Í»§¶Ë |
2Â¥2017-03-10 09:43:15
pfc1991
½ð³æ (ÕýʽдÊÖ)
- Ó¦Öú: 0 (Ó×¶ùÔ°)
- ½ð±Ò: 1200.5
- É¢½ð: 150
- Ìû×Ó: 404
- ÔÚÏß: 140.7Сʱ
- ³æºÅ: 2269653
- ×¢²á: 2013-01-31
- ÐÔ±ð: GG
- רҵ: ÓлúºÏ³É
3Â¥2017-03-10 10:44:26
Matt Luo
гæ (ÕýʽдÊÖ)
- Ó¦Öú: 3 (Ó×¶ùÔ°)
- ½ð±Ò: 791.9
- ºì»¨: 15
- Ìû×Ó: 652
- ÔÚÏß: 72.6Сʱ
- ³æºÅ: 3991348
- ×¢²á: 2015-07-26
- רҵ: ÉúÎï¼¼ÊõÒ©Îï
4Â¥2017-03-10 10:45:06














»Ø¸´´ËÂ¥