| ²é¿´: 462 | »Ø¸´: 2 | ||
À´ÖÁ1900ľ³æ (ÖøÃûдÊÖ)
|
[ÇóÖú]
ÇóÖúÖÊÆ×
|
|
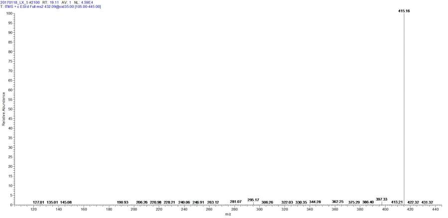
ÇóÖú´óÉñ½âÖÊÆ×£¬ÍƲâһϸÃÎïÖÊ£¬ÇóÏêϸ²½Ö裬½â³É¹¦ºóÔÙ¸ø50½ð±Ò¡£ ͼƬ9.jpg ͼƬ10.jpg@ѼÂ̽ÅÏ@wyy080214@ѧÊõ¾ÞÐÇ |
» ²ÂÄãϲ»¶
086502»¯Ñ§¹¤³Ì342Çóµ÷¼Á
ÒѾÓÐ5È˻ظ´
²ÄÁÏÇóµ÷¼Á Ò»Ö¾Ô¸¹þ¹¤´ó×Ü·Ö298·Ö£¬Ç°Èý¿Æ223·Ö
ÒѾÓÐ5È˻ظ´
085600 286·Ö ²ÄÁÏÇóµ÷¼Á
ÒѾÓÐ6È˻ظ´
²ÄÁÏÇóµ÷¼ÁÒ»Ö¾Ô¸¹þ¹¤´ó324
ÒѾÓÐ7È˻ظ´
328Çóµ÷¼Á
ÒѾÓÐ7È˻ظ´
340Çóµ÷¼Á
ÒѾÓÐ5È˻ظ´
Ò»Ö¾Ô¸Äϲý´óѧ324Çóµ÷¼Á
ÒѾÓÐ4È˻ظ´
Çóµ÷¼ÁÍÆ¼ö ²ÄÁÏ 304
ÒѾÓÐ15È˻ظ´
291Çóµ÷¼Á
ÒѾÓÐ19È˻ظ´
331»·¾³¿ÆÑ§Ó빤³ÌÇóµ÷¼Á
ÒѾÓÐ3È˻ظ´
yekongdea
ͳæ (Ö°Òµ×÷¼Ò)
- Ó¦Öú: 1 (Ó×¶ùÔ°)
- ½ð±Ò: 496.2
- É¢½ð: 6698
- ºì»¨: 7
- Ìû×Ó: 3519
- ÔÚÏß: 65Сʱ
- ³æºÅ: 2978018
- ×¢²á: 2014-02-19
- ÐÔ±ð: GG
- רҵ: ¹ûÊ÷ѧ
2Â¥2017-03-09 16:00:31
tanzhen
¾èÖú¹ó±ö (ÖøÃûдÊÖ)
qq3233511316רҵ·ÖÀë½á¹¹¼ø¶¨
- Ó¦Öú: 188 (¸ßÖÐÉú)
- ½ð±Ò: 1262.5
- É¢½ð: 229
- ºì»¨: 57
- Ìû×Ó: 2158
- ÔÚÏß: 247.9Сʱ
- ³æºÅ: 1937256
- ×¢²á: 2012-08-13
- ÐÔ±ð: GG
- רҵ: ÌìȻҩÎﻯѧ
3Â¥2017-03-09 23:18:03














»Ø¸´´ËÂ¥