| ²é¿´: 897 | »Ø¸´: 4 | ||
birdyzjuгæ (³õÈëÎÄ̳)
|
[ÇóÖú]
Çó½âƫ΢·Ö·½³Ì£¬ÇóÊýѧ´óÉñ°ïÏÂæ
|
|
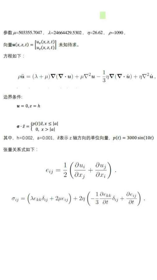
ÃèÊöÈçͼ£¬¾Ý˵¿ÉÓÃË«ÖØ¸µÁ¢Ò¶±ä»»£¬µ«»¹ÊDz»»á½â¡£»òÕ߿ɲ»¿ÉÒÔÓÃÊýÖµ·ÖÎöµÄ·½·¨Çó½â£¿µ«matlabÕÒ²»µ½ÀàËÆ¿ÉÇóµÄº¯Êý¡£ÕæÐÄÇóÖú @laosam280 ·¢×ÔСľ³æAndroid¿Í»§¶Ë |
» ²ÂÄãϲ»¶
270Çóµ÷¼Á
ÒѾÓÐ8È˻ظ´
211±¾¿Æ²ÄÁÏ»¯¹¤Çóµ÷¼Á
ÒѾÓÐ6È˻ظ´
Çóµ÷¼Á
ÒѾÓÐ10È˻ظ´
Çóµ÷¼Á
ÒѾÓÐ11È˻ظ´
272·Ö²ÄÁÏ×ÓÇóµ÷¼Á
ÒѾÓÐ43È˻ظ´
271Çóµ÷¼Á
ÒѾÓÐ13È˻ظ´
283Çóµ÷¼Á 086004¿¼Ó¢¶þÊý¶þ
ÒѾÓÐ16È˻ظ´
085410 273·Öµ÷¼Á
ÒѾÓÐ4È˻ظ´
Ò»Ö¾Ô¸Ïôó0856£¬306Çóµ÷¼Á
ÒѾÓÐ3È˻ظ´
304Çóµ÷¼Á£¨085602£¬¹ýËļ¶£¬Ò»Ö¾Ô¸985£©
ÒѾÓÐ28È˻ظ´
birdyzju
гæ (³õÈëÎÄ̳)
- Ó¦Öú: 0 (Ó×¶ùÔ°)
- ½ð±Ò: 17.8
- Ìû×Ó: 8
- ÔÚÏß: 2.3Сʱ
- ³æºÅ: 5798842
- ×¢²á: 2017-03-01
- רҵ: ΢/ÄÉ»úеϵͳ
2Â¥2017-03-02 15:50:55
ÄäÃû
Óû§×¢Ïú (Ö°Òµ×÷¼Ò)
Matlabר¼Ò
- Ó¦Öú: 223 (´óѧÉú)
- ½ð±Ò: 2891.3
- É¢½ð: 5302
- ºì»¨: 59
- ɳ·¢: 10
- Ìû×Ó: 3308
- ÔÚÏß: 945Сʱ
- ³æºÅ: 0
- ×¢²á: 2012-05-01
- ÐÔ±ð: GG
- רҵ: Á¦Ñ§
3Â¥2017-03-03 00:39:03
allenÓÎ
гæ (³õÈëÎÄ̳)
- Ó¦Öú: 0 (Ó×¶ùÔ°)
- ½ð±Ò: 306.7
- Ìû×Ó: 28
- ÔÚÏß: 7.6Сʱ
- ³æºÅ: 4169510
- ×¢²á: 2015-10-23
- רҵ: ÓлúºÏ³É
4Â¥2017-03-03 06:16:29
birdyzju
гæ (³õÈëÎÄ̳)
- Ó¦Öú: 0 (Ó×¶ùÔ°)
- ½ð±Ò: 17.8
- Ìû×Ó: 8
- ÔÚÏß: 2.3Сʱ
- ³æºÅ: 5798842
- ×¢²á: 2017-03-01
- רҵ: ΢/ÄÉ»úеϵͳ
5Â¥2017-03-05 21:09:43













»Ø¸´´ËÂ¥
