| ²é¿´: 1567 | »Ø¸´: 3 | |||
jacque95гæ (СÓÐÃûÆø)
|
[½»Á÷]
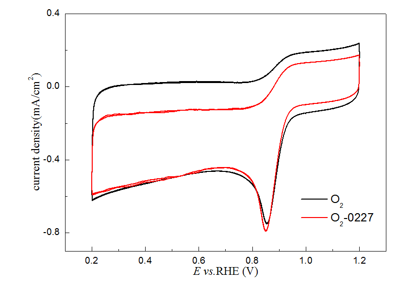
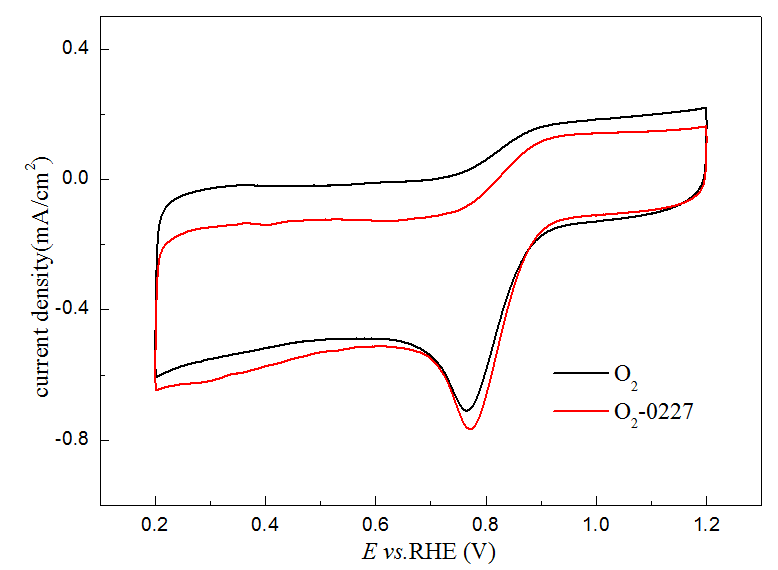
Òõ¼«ORR·´Ó¦£¬²âÊԵĻ¹Ô·åλÖ÷¢ÉúÆ«ÒÆ£¿
|
Ñõ»¹Ô·´Ó¦ORR |
» ²ÂÄãϲ»¶
Synthesis of NCo@CNT-NFT Hierarchical Carbon Dendrites.
ÒѾÓÐ0È˻ظ´
AgÄÉÃײÄÁÏ
ÒѾÓÐ0È˻ظ´
·ÖÎö»¯Ñ§ÂÛÎÄÈóÉ«/·ÒëÔõôÊÕ·Ñ?
ÒѾÓÐ104È˻ظ´
³¤´º¹¤³ÌѧԺÊÐÕþ¹¤³Ì·½ÏòÓв¿·Öµ÷¼ÁÃû¶î£¬»¶Ó´ó¼Òµ÷¼Áµ½ÎÒУ
ÒѾÓÐ0È˻ظ´
Õе÷¼Á
ÒѾÓÐ0È˻ظ´
26Äêµç³Ø·½Ïò²©Ê¿ÉêÇë
ÒѾÓÐ2È˻ظ´
Ô˶¯¿µ¸´Çóµ÷¼Á
ÒѾÓÐ0È˻ظ´
³¤´º¹¤³ÌѧԺÊÐÕþ¹¤³Ì·½ÏòÓв¿·Öµ÷¼ÁÃû¶î£¬»¶Ó´ó¼Òµ÷¼Áµ½ÎÒУ
ÒѾÓÐ0È˻ظ´
085500»úеBÇøÇóµ÷¼Á
ÒѾÓÐ20È˻ظ´
ÖÐÔ¹¤Ñ§ÔºÏÖÓвÄÁÏ¿ÆÑ§Ó빤³ÌºÍÄÉÃ׿ÆÑ§Ó빤³ÌѧÊõÐÍ¡¢²ÄÁϹ¤³ÌÑо¿Éúµ÷¼ÁÃû¶î
ÒѾÓÐ0È˻ظ´
³¤´º¹¤³ÌѧԺÊÐÕþ¹¤³Ì·½ÏòÓв¿·Öµ÷¼ÁÃû¶î£¬»¶Ó´ó¼Òµ÷¼Áµ½ÎÒУ
ÒѾÓÐ0È˻ظ´
duxiaobu
Ìú¸Ëľ³æ (ÕýʽдÊÖ)
- Ó¦Öú: 14 (СѧÉú)
- ½ð±Ò: 5329.5
- É¢½ð: 52
- ºì»¨: 4
- Ìû×Ó: 589
- ÔÚÏß: 607.2Сʱ
- ³æºÅ: 2457093
- ×¢²á: 2013-05-09
- ÐÔ±ð: GG
- רҵ: µç»¯Ñ§
¡ï
Сľ³æ: ½ð±Ò+0.5, ¸ø¸öºì°ü£¬Ð»Ð»»ØÌû
Сľ³æ: ½ð±Ò+0.5, ¸ø¸öºì°ü£¬Ð»Ð»»ØÌû
| Õâ¸öºÜÕý³£°É£¬Á½´ÎµÎµÄµç¼«³ÉĤÖÊÁ¿²»Ò»Ñù£¬ÆäËü²âÊÔÌõ¼þÒ²ÓпÉÄÜÓ°Ï죬¿ÉÒÔËã×÷Îó²îÁË |

2Â¥2017-03-02 17:00:36
ÓàÅà¿
ͳæ (³õÈëÎÄ̳)
- Ó¦Öú: 0 (Ó×¶ùÔ°)
- ½ð±Ò: 85.5
- Ìû×Ó: 5
- ÔÚÏß: 4Сʱ
- ³æºÅ: 4332131
- ×¢²á: 2016-01-04
- ÐÔ±ð: GG
- רҵ: µç»¯Ñ§
3Â¥2017-03-03 16:29:19
corrtest
ľ³æ (ÖøÃûдÊÖ)
- Ó¦Öú: 486 (˶ʿ)
- ¹ó±ö: 0.006
- ½ð±Ò: 2623.6
- ºì»¨: 48
- Ìû×Ó: 1360
- ÔÚÏß: 776.8Сʱ
- ³æºÅ: 687386
- ×¢²á: 2009-01-04
- רҵ: µç»¯Ñ§
4Â¥2017-03-03 18:45:44













»Ø¸´´ËÂ¥