24小时热门版块排行榜    

Znn3bq.jpeg
查看: 413  |  回复: 1

lixubin5

木虫 (小有名气)

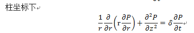
[求助] 类热传导问题方程求解,求助

描述如图,请问下怎么求解
或者有什么数值软件计算?
本人数学不太好,谢谢

类热传导问题方程求解,求助
z.png
回复此楼

» 猜你喜欢

已阅   回复此楼   关注TA 给TA发消息 送TA红花 TA的回帖

lixubin5

木虫 (小有名气)

打错了
类热传导问题方程求解,求助-1
q.png

2楼2017-03-01 12:40:49
已阅   回复此楼   关注TA 给TA发消息 送TA红花 TA的回帖
相关版块跳转 我要订阅楼主 lixubin5 的主题更新
最具人气热帖推荐 [查看全部] 作者 回/看 最后发表
[考研] 本人女孩 +5 吼吼, 2026-04-10 7/350 2026-04-11 08:40 by 来看流星雨10
[考研] 生物学调剂 +6 小冉要努力 2026-04-10 7/350 2026-04-11 08:26 by LPT1978
[考研] 一志愿西北工业大学289 085602 +31 yang婷 2026-04-10 31/1550 2026-04-11 00:19 by gong120082
[考研] 求调剂 +16 MAX怅惘 2026-04-09 18/900 2026-04-10 20:24 by 小鬼喔~~
[考研] 336材料与化工085600求调剂 +21 水星记infp 2026-04-05 24/1200 2026-04-10 15:28 by luoyongfeng
[考研] 085800 能源动力求调剂 +6 阿biu啊啊啊啊啊 2026-04-10 6/300 2026-04-10 15:03 by hemengdong
[考研] 296求调剂 +6 汪!?! 2026-04-09 6/300 2026-04-09 20:49 by lbsjt
[考研] 本科郑州大学,一志愿华东师范大学282求调剂 +23 熊哥xtk 2026-04-07 26/1300 2026-04-09 17:17 by 18446523
[考研] 085501机械专硕 302分 不挑专业求调剂 +5 汪某. 2026-04-09 5/250 2026-04-09 15:38 by 蒋皓禹
[考研] 求助071001调剂!!! +7 黄守松 2026-04-05 8/400 2026-04-09 09:07 by 徐良白眉大侠
[考研] 327求调剂 +10 Xxjc1107. 2026-04-06 11/550 2026-04-09 01:21 by lature00
[考研] 318求调剂 +13 ykyhsa 2026-04-05 15/750 2026-04-08 21:37 by wj165256
[考研] 求调剂 一志愿西南交通大学085701环境工程 282分 +15 多多爱吃汉堡 2026-04-04 16/800 2026-04-08 11:39 by i_cooler
[考研] 22408 一志愿双一流人工智能300分 四六级,数据分析国奖 +4 zzfeng123 2026-04-06 6/300 2026-04-07 21:02 by zzfeng123
[考研] 081700,311,求调剂 +17 冬十三 2026-04-04 18/900 2026-04-07 12:50 by Sammy2
[考研] 372分材料与化工(085600)英二数二求调剂 +4 蓝笺片 2026-04-06 4/200 2026-04-07 12:30 by dongzh2009
[考研] 生物学学硕求调剂:351分一志愿南京师范大学生物学专业 +6 …~、王…~ 2026-04-06 7/350 2026-04-06 18:54 by macy2011
[考研] 315求调剂 +5 &123456789 2026-04-05 5/250 2026-04-05 19:55 by nepu_uu
[考研] 326求调剂 +3 顾若浮生 2026-04-05 3/150 2026-04-05 18:32 by 蓝云思雨
[考研] 085602调剂 初试总分335 +12 19123253302 2026-04-04 12/600 2026-04-05 08:08 by 544594351
信息提示
请填处理意见