24小时热门版块排行榜    

查看: 798  |  回复: 0

zuixia530

木虫 (著名写手)

[求助] dls(动态光散射)测试混合物体系的问题求助中……

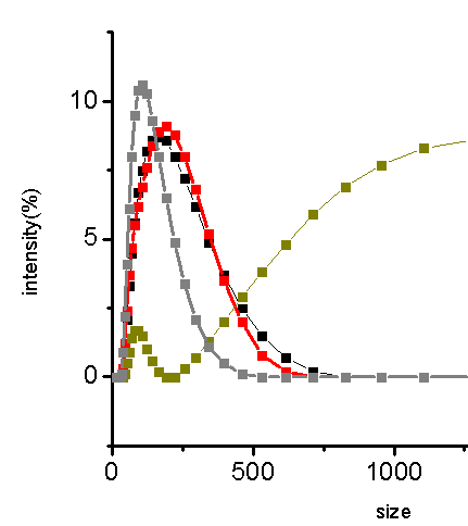
各位虫友好,最近我做了卵磷脂乳化全氟化碳的乳液体系,想看看最后乳液的粒径分布,想到用dls来测。但是去测试的时候那边老师说dls一般测的是单组份的,比如一些蛋白质之类的。我其实也很费解,这个不也是能测相关的乳液吗?在我的体系里,全氟化碳不溶于水,卵磷脂溶解在水里后作为乳化剂,这样一个体系。测试结果如下灰色就是单独的卵磷脂测的数据,黑红就是加了全氟化碳乳化的,暗黄色是乳化后的离心底部絮状沉淀物除此pdi大于0.6其余都是0.2左右,分散程度很好。
最后的问题来了,dls可以理解为测量体系整体的粒径分布吧,我这里的混合物体系会有一些大的影响吗?多谢指教!

dls(动态光散射)测试混合物体系的问题求助中……
1.png
回复此楼

» 猜你喜欢

已阅   回复此楼   关注TA 给TA发消息 送TA红花 TA的回帖
相关版块跳转 我要订阅楼主 zuixia530 的主题更新
最具人气热帖推荐 [查看全部] 作者 回/看 最后发表
[考研] 一志愿西安交通大学材料工程专业 282分求调剂 +11 枫桥ZL 2026-03-18 13/650 2026-03-22 20:26 by edmund7
[考研] 310求调剂 +4 baibai1314 2026-03-16 4/200 2026-03-22 20:19 by edmund7
[考研] 315分,诚求调剂,材料与化工085600 +3 13756423260 2026-03-22 3/150 2026-03-22 20:11 by edmund7
[考研] 306求调剂 +6 chuanzhu川烛 2026-03-18 6/300 2026-03-22 19:39 by 公瑾逍遥
[考研] 305分求调剂(食品工程) +4 Sxy112 2026-03-21 6/300 2026-03-22 15:26 by 无懈可击111
[考研] 生物学调剂 +5 Surekei 2026-03-21 5/250 2026-03-22 14:39 by tcx007
[考研] 考研调剂 +4 来好运来来来 2026-03-21 4/200 2026-03-22 12:15 by 星空星月
[考研] 一志愿华中科技大学071000,求调剂 +4 沿岸有贝壳6 2026-03-21 4/200 2026-03-22 07:21 by ilovexiaobin
[考研] 297求调剂 +3 喜欢还是不甘心 2026-03-20 3/150 2026-03-21 18:33 by 学员8dgXkO
[考研] 297求调剂 +11 戏精丹丹丹 2026-03-17 12/600 2026-03-21 17:47 by ColorlessPI
[考研] 070300化学319求调剂 +7 锦鲤0909 2026-03-17 7/350 2026-03-21 03:46 by JourneyLucky
[考研] 303求调剂 +5 睿08 2026-03-17 7/350 2026-03-21 03:11 by JourneyLucky
[考研] 一志愿中国石油大学(华东) 本科齐鲁工业大学 +3 石能伟 2026-03-17 3/150 2026-03-21 02:22 by JourneyLucky
[考研] 一志愿重庆大学085700资源与环境专硕,总分308求调剂 +3 墨墨漠 2026-03-18 3/150 2026-03-21 00:39 by JourneyLucky
[考研] 317求调剂 +5 申子申申 2026-03-19 9/450 2026-03-20 22:26 by JourneyLucky
[考研] 一志愿 南京航空航天大学大学 ,080500材料科学与工程学硕 +5 @taotao 2026-03-20 5/250 2026-03-20 20:16 by JourneyLucky
[考研] 085600材料与化工调剂 324分 +10 llllkkkhh 2026-03-18 12/600 2026-03-19 14:33 by llllkkkhh
[考研] 0703化学调剂 +5 pupcoco 2026-03-17 8/400 2026-03-19 13:58 by houyaoxu
[考研] 考研求调剂 +3 橘颂. 2026-03-17 4/200 2026-03-17 21:43 by 有只狸奴
[考研] 085601求调剂 +4 Du.11 2026-03-16 4/200 2026-03-17 17:08 by ruiyingmiao
信息提示
请填处理意见