| ²é¿´: 869 | »Ø¸´: 3 | |||
wmm841346163гæ (СÓÐÃûÆø)
|
[ÇóÖú]
Çó×îÓŽâ
|
|
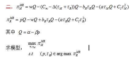
matlab¿ÉÒÔ¶ÔÕâ¸öÄ£ÐͽøÐбà³ÌÇó½âÂð ·¢×ÔСľ³æAndroid¿Í»§¶Ë |
» ²ÂÄãϲ»¶
ÇóÖú
ÒѾÓÐ4È˻ظ´
0805²ÄÁÏ320Çóµ÷¼Á
ÒѾÓÐ3È˻ظ´
297Çóµ÷¼Á
ÒѾÓÐ11È˻ظ´
268Çóµ÷¼Á
ÒѾÓÐ9È˻ظ´
Ò»Ö¾Ô¸Î÷°²½»Í¨´óѧ²ÄÁϹ¤³Ìרҵ 282·ÖÇóµ÷¼Á
ÒѾÓÐ10È˻ظ´
278Çóµ÷¼Á
ÒѾÓÐ7È˻ظ´
26¿¼ÑÐÒ»Ö¾Ô¸ÖйúʯÓÍ´óѧ(»ª¶«)305·ÖÇóµ÷¼Á
ÒѾÓÐ5È˻ظ´
280Çóµ÷¼Á
ÒѾÓÐ9È˻ظ´
279Çóµ÷¼Á
ÒѾÓÐ5È˻ظ´
286Çóµ÷¼Á
ÒѾÓÐ5È˻ظ´
pdl9527
ר¼Ò¹ËÎÊ (СÓÐÃûÆø)
-

ר¼Ò¾Ñé: +8 - Ó¦Öú: 100 (³õÖÐÉú)
- ½ð±Ò: 2109.3
- ºì»¨: 23
- Ìû×Ó: 282
- ÔÚÏß: 112Сʱ
- ³æºÅ: 1227333
- ×¢²á: 2011-03-09
- ÐÔ±ð: GG
- רҵ: ·ÖÀë¹ý³Ì
- ¹ÜϽ: ¼ÆËãÄ£Äâ
2Â¥2017-02-27 22:31:35
wmm841346163
гæ (СÓÐÃûÆø)
- Ó¦Öú: 0 (Ó×¶ùÔ°)
- ½ð±Ò: 495.8
- Ìû×Ó: 65
- ÔÚÏß: 12.4Сʱ
- ³æºÅ: 5162875
- ×¢²á: 2016-10-25
- רҵ: ÆóÒµ¹ÜÀí
3Â¥2017-02-28 21:54:04
ÄäÃû
Óû§×¢Ïú (Ö°Òµ×÷¼Ò)
Matlabר¼Ò
- Ó¦Öú: 223 (´óѧÉú)
- ½ð±Ò: 2891.3
- É¢½ð: 5302
- ºì»¨: 59
- ɳ·¢: 10
- Ìû×Ó: 3308
- ÔÚÏß: 945Сʱ
- ³æºÅ: 0
- ×¢²á: 2012-05-01
- ÐÔ±ð: GG
- רҵ: Á¦Ñ§
4Â¥2017-03-04 16:52:41













»Ø¸´´ËÂ¥
