24小时热门版块排行榜    

北京石油化工学院2026年研究生招生接收调剂公告
查看: 420  |  回复: 0

倔姑娘

新虫 (初入文坛)

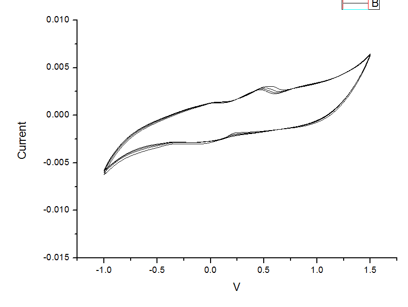
[求助] CV 曲线

哪位大侠能帮我看看这个CV 曲线,物质是AgNbO3,硝酸钠电解液,甘汞电极,能从这个图上看出什么信息,能看出分解电压是多少么?拜托拜托啦~~

CV 曲线
SYN[C[@~27[YDF{Z)51{Q9V.png
回复此楼
已阅   回复此楼   关注TA 给TA发消息 送TA红花 TA的回帖
相关版块跳转 我要订阅楼主 倔姑娘 的主题更新
最具人气热帖推荐 [查看全部] 作者 回/看 最后发表
[考研] 一志愿中海洋320化学工程与技术学硕求调剂 +3 披星河 2026-03-30 3/150 2026-03-30 23:38 by 果果妈咪
[考研] 08工科求调剂286 +4 tgs_001 2026-03-28 4/200 2026-03-30 21:03 by dophin1985
[考研] 一志愿郑州大学,080500学硕,总分317分求调剂 +10 举个栗子oi 2026-03-24 11/550 2026-03-30 19:31 by michael2011
[考研] 286求调剂 +5 Faune 2026-03-30 5/250 2026-03-30 17:15 by 无际的草原
[考研] 342求调剂 +4 加油a李zs 2026-03-26 4/200 2026-03-30 16:39 by 晶体之美
[考研] 0703化学/290求调剂/本科经历丰富/工科也可 +13 丹青奶盖 2026-03-26 15/750 2026-03-30 12:35 by fangnagu
[考研] 求调剂,一志愿 南京航空航天大学大学 ,080500材料科学与工程学硕 +6 @taotao 2026-03-26 7/350 2026-03-30 10:43 by 我是小康
[考研] 085600,材料与化工321分求调剂 +10 大馋小子 2026-03-28 10/500 2026-03-29 23:35 by 飞行日记西
[考研] 求调剂 +7 争取九点睡 2026-03-28 8/400 2026-03-28 21:07 by 争取九点睡
[考研] 286求调剂 +4 丢掉懒惰 2026-03-27 7/350 2026-03-28 08:07 by baoball
[考研] 308求调剂 +7 墨墨漠 2026-03-27 7/350 2026-03-28 07:43 by 热情沙漠
[考研] 308求调剂 +7 墨墨漠 2026-03-25 7/350 2026-03-27 14:47 by 狂炫麦当当
[考研] 298调剂 +3 jiyingjie123 2026-03-27 3/150 2026-03-27 11:57 by wxiongid
[考研] 一志愿郑大085600,310分求调剂 +5 李潇可 2026-03-26 5/250 2026-03-27 11:14 by 不吃魚的貓
[考研] 考研调剂 +9 小蜡新笔 2026-03-26 9/450 2026-03-27 11:10 by 不吃魚的貓
[考研] 351求调剂 +4 麦克阿磊 2026-03-24 4/200 2026-03-27 00:32 by wxiongid
[考研] 085602 289分求调剂 +8 WWW西西弗斯 2026-03-24 8/400 2026-03-26 16:33 by 不吃魚的貓
[考研] 07化学303求调剂 +5 睿08 2026-03-25 5/250 2026-03-25 22:46 by 418490947
[考研] 334分 一志愿武理-080500 材料求调剂 +4 李李不服输 2026-03-25 4/200 2026-03-25 21:26 by 星空星月
[考研] 求b区院校调剂 +4 周56 2026-03-24 5/250 2026-03-25 17:12 by yishunmin
信息提示
请填处理意见