| 查看: 2433 | 回复: 1 | |
shuting1994新虫 (小有名气)
|
[求助]
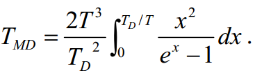
分母含有指数和常数项的函数积分化简
|
|
|
|
shuting1994新虫 (小有名气)
|
|
|
2楼2017-02-15 17:21:28
|
|













回复此楼