| 查看: 456 | 回复: 4 | |
[求助]
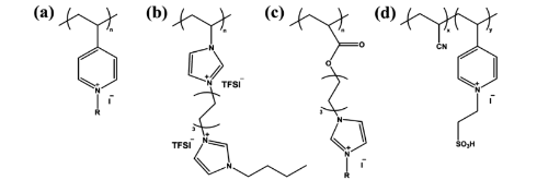
求大神帮忙翻译一下聚合物的名称(有分子的图)
|
|
|
|
|
jnty新虫 (小有名气)
|
|
|
2楼2017-02-14 19:48:43
|
|
|
3楼2017-02-14 20:01:29
|
|
|
4楼2017-02-14 20:01:45
|
|
|
5楼2017-02-14 20:02:51
|
|















回复此楼