| ²é¿´: 1564 | »Ø¸´: 3 | |||
ÎäÀíÎü²¨Ð³æ (СÓÐÃûÆø)
|
[ÇóÖú]
Çó´óÉñ¸ø³öµ¥²ãÀ×´ïÎü²¨Ì壨Dallenbach screen£©×î´ó¿ÉÄÜ´ø¿íµÄÍÆµ¼¹ý³Ì ÒÑÓÐ1È˲ÎÓë
|
|
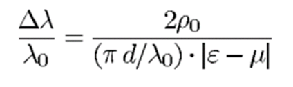
×îÖÕ¹«Ê½Èçͼ£ºÆäÖЦÑ0ÊÇԶСÓÚ1µÄ·´ÉäϵÊý£¬¦Ë0ΪÖÐÐIJ¨³¤£¬¦¤¦ËΪ²¨³¤²î¼´´ø¿í£¬¦ÅΪ½éµç³£Êý£¬¦ÌΪ´Åµ¼ÂÊ¡£ }C3S{_L8B03RO89HFB7IH%F.png |
» ÊÕ¼±¾ÌûµÄÌÔÌûר¼ÍƼö
Îü²¨²ÄÁÏר¼ |
» ²ÂÄãϲ»¶
277Çóµ÷¼Á ÊýÒ»104·Ö
ÒѾÓÐ7È˻ظ´
288»·¾³×¨Ë¶,Çóµ÷²ÄÁÏ·½Ïò
ÒѾÓÐ16È˻ظ´
277¹¤¿ÆÇóµ÷¼Á
ÒѾÓÐ8È˻ظ´
266Çóµ÷¼Á
ÒѾÓÐ19È˻ظ´
»·¾³×¨Ë¶µ÷¼Á
ÒѾÓÐ3È˻ظ´
081200-11408-276ѧ˶Çóµ÷¼Á
ÒѾÓÐ5È˻ظ´
²ÄÁϵ÷¼Á
ÒѾÓÐ13È˻ظ´
¹¤¿Æ 22408 267ÇóÍÆ¼ö
ÒѾÓÐ4È˻ظ´
305Çóµ÷¼Á
ÒѾÓÐ3È˻ظ´
270·ÖÇóµ÷¼Á
ÒѾÓÐ5È˻ظ´
460833099
Ìú³æ (СÓÐÃûÆø)
- Ó¦Öú: 1 (Ó×¶ùÔ°)
- ½ð±Ò: 314.7
- Ìû×Ó: 101
- ÔÚÏß: 48Сʱ
- ³æºÅ: 3155309
- ×¢²á: 2014-04-22
- ÐÔ±ð: GG
- רҵ: È˹¤ÖÇÄÜÓë֪ʶ¹¤³Ì

2Â¥2017-10-05 19:18:39
511451432
ľ³æ (ÕýʽдÊÖ)
- Ó¦Öú: 13 (СѧÉú)
- ½ð±Ò: 1915.4
- É¢½ð: 60
- ºì»¨: 2
- Ìû×Ó: 558
- ÔÚÏß: 288.1Сʱ
- ³æºÅ: 2062879
- ×¢²á: 2012-10-15
- ÐÔ±ð: GG
- רҵ: Ï𽺼°µ¯ÐÔÌå
3Â¥2018-07-30 21:50:33
david0632
Ìú³æ (ÖøÃûдÊÖ)
- Ó¦Öú: 0 (Ó×¶ùÔ°)
- ½ð±Ò: 4892.6
- É¢½ð: 112
- Ìû×Ó: 1484
- ÔÚÏß: 15.6Сʱ
- ³æºÅ: 4492464
- ×¢²á: 2016-03-11
- ÐÔ±ð: GG
- רҵ: µç´Å³¡Ó벨
4Â¥2019-04-16 11:23:38














»Ø¸´´ËÂ¥