| 查看: 377 | 回复: 0 | ||
[求助]
矩阵求导问题
|
|
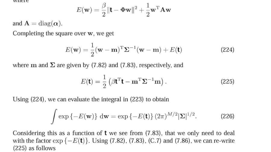
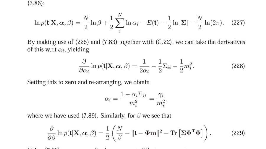
228式子中最后一项m i平方的符号我怎么算都是正的,求告知这个负号怎么来的? 发自小木虫Android客户端 |
» 猜你喜欢
Bioresource Technology期刊,第一次返修的时候被退回好几次了
已经有6人回复
2025冷门绝学什么时候出结果
已经有4人回复
真诚求助:手里的省社科项目结项要求主持人一篇中文核心,有什么渠道能发核心吗
已经有8人回复
寻求一种能扛住强氧化性腐蚀性的容器密封件
已经有5人回复
论文投稿,期刊推荐
已经有6人回复
请问哪里可以有青B申请的本子可以借鉴一下。
已经有4人回复
孩子确诊有中度注意力缺陷
已经有14人回复
请问下大家为什么这个铃木偶联几乎不反应呢
已经有5人回复
请问有评职称,把科研教学业绩算分排序的高校吗
已经有5人回复
天津工业大学郑柳春团队欢迎化学化工、高分子化学或有机合成方向的博士生和硕士生加入
已经有4人回复













回复此楼