24小时热门版块排行榜    

Znn3bq.jpeg
查看: 405  |  回复: 0

weixu0814

铜虫 (初入文坛)

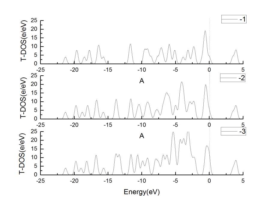
[求助] 哪位大神能帮忙看看从这组Total-DOS图中能得到什么有用的信息?(急求)

图片如下上传所示,有2组。分别可以得到什么有用的信息。(实在不会分析)求帮助!!!

哪位大神能帮忙看看从这组Total-DOS图中能得到什么有用的信息?(急求)
model1-3.jpg


哪位大神能帮忙看看从这组Total-DOS图中能得到什么有用的信息?(急求)-1
period1-3.jpg
回复此楼

» 猜你喜欢

已阅   回复此楼   关注TA 给TA发消息 送TA红花 TA的回帖
相关版块跳转 我要订阅楼主 weixu0814 的主题更新
最具人气热帖推荐 [查看全部] 作者 回/看 最后发表
[论文投稿] 投稿求助,期刊 +3 希冀,有书读 2026-05-20 4/200 2026-05-21 11:07 by 希冀,有书读
[基金申请] 今年审到国自然15份,谈谈感受 +21 国自然国社科中 2026-05-17 22/1100 2026-05-21 09:37 by 2000zf36392
[论文投稿] Sci. Bull. 悲剧经验 +7 jyang1999 2026-05-16 8/400 2026-05-21 08:50 by 能丫
[基金申请] 河北省自然科学基金 +4 Peterchao 2026-05-18 4/200 2026-05-21 08:17 by articlefan
[论文投稿] 投MDPI的三个期刊都被桌拒 +3 木虫研究牲 2026-05-17 4/200 2026-05-21 08:02 by bobvan
[考博] 云南大学材料与能源学院解琳课题组钙钛矿博士招生 +4 光伏爱好者 2026-05-17 6/300 2026-05-21 01:37 by 17520222914
[有机交流] 反应很差,大量原料没有反应 5+3 Mr.Zot 2026-05-19 8/400 2026-05-20 22:19 by Equinoxhua
[基金申请] 面上本子正文33页,违规吗?会被低分嘛? +11 1234567wang 2026-05-17 13/650 2026-05-20 18:55 by tanfancy
[基金申请] 国自然评分 +3 无名者登山 2026-05-20 4/200 2026-05-20 13:29 by vito刘
[考博] 如果工作了想读博,可以边工作边读全日制嘛? 30+3 铁达火车 2026-05-18 5/250 2026-05-20 09:33 by tfang
[有机交流] 如何实现卤原子转化 +3 BT20230424 2026-05-15 8/400 2026-05-20 09:32 by xtlilibin
[教师之家] 上海大学实验技术岗位非升即走 +12 嘻嘻哈哈乐呵呵 2026-05-15 13/650 2026-05-20 08:34 by xli1984
[考博] 26/27申博自荐-锂/钠电池方向 5+3 狗头军师. 2026-05-15 4/200 2026-05-19 09:10 by moonboat
[考博] 2026博士还有哪些学校有名额 +7 小王求读研 2026-05-15 8/400 2026-05-19 08:27 by zhyzzh
[考博] 博士申请 +5 星…… 2026-05-18 6/300 2026-05-18 23:49 by 糊糊涂涂好
[基金申请] 国自然上会要求 +5 无名者登山 2026-05-18 9/450 2026-05-18 17:50 by BlakeReary
[硕博家园] 我在等一个没有答案的答案 +3 Love_MH 2026-05-17 3/150 2026-05-18 02:22 by 竹林孤影
[文学芳草园] 半夜喝咖啡 +3 myrtle 2026-05-15 5/250 2026-05-18 01:03 by 小沈2018
[考博] 光量子物理方向 博士招生 1人(2026.09) +3 sandyworld 2026-05-15 4/200 2026-05-17 14:38 by sandyworld
[硕博家园] 申请博士 +3 呃?呃 2026-05-15 3/150 2026-05-16 11:01 by a4742549
信息提示
请填处理意见