±±¾©Ê¯ÓÍ»¯¹¤Ñ§Ôº2026ÄêÑо¿ÉúÕÐÉú½ÓÊÕµ÷¼Á¹«¸æ
²é¿´: 1665  |  »Ø¸´: 0

Fung66

ľ³æ (ÖøÃûдÊÖ)

[ÇóÖú] Çë½ÌÏÂÈçºÎÓõ绯ѧ¹¤×÷Õ¾×öÒÔϲâÊÔ£¨µç´ß»¯·½Ïò£©£¿

RT¡£

Çë½ÌÏÂÈçºÎÓõ绯ѧ¹¤×÷Õ¾×öÒÔϲâÊÔ£¨µç´ß»¯·½Ïò£©£¿
Fig.2  Calculated versus actual oxygen production catalyzed by CoMn LDH at a constant oxidative current of 1 mA
¸ÃͼÖеIJåͼµÄ²âÊÔÔõô×ö£¿


Çë½ÌÏÂÈçºÎÓõ绯ѧ¹¤×÷Õ¾×öÒÔϲâÊÔ£¨µç´ß»¯·½Ïò£©£¿-1
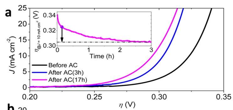
1.jpg  LSV curves showing the effect of continuous anodic conditioning (AC) at J = 10 mA cm−2 for CoMn LDH.
¸ÃͼÈçºÎ¼ÆËã²úÁ¿£¿
»Ø¸´´ËÂ¥
´¿´âΪÁËѧÊõ¡£´¿´âΪÁ˳ö¹ú¡£¼ÓÓÍ¡£
ÒÑÔÄ   »Ø¸´´ËÂ¥   ¹Ø×¢TA ¸øTA·¢ÏûÏ¢ ËÍTAºì»¨ TAµÄ»ØÌû
Ïà¹Ø°æ¿éÌø×ª ÎÒÒª¶©ÔÄÂ¥Ö÷ Fung66 µÄÖ÷Ìâ¸üÐÂ
×î¾ßÈËÆøÈÈÌûÍÆ¼ö [²é¿´È«²¿] ×÷Õß »Ø/¿´ ×îºó·¢±í
[¿¼ÑÐ] 307Çóµ÷¼Á +17 ³¬¼¶ÒÁ°º´óÍõ 2026-03-24 18/900 2026-03-30 21:22 by dick_runner
[¿¼ÑÐ] »·¾³¹¤³Ì 085701£¬267Çóµ÷¼Á +7 minht 2026-03-29 7/350 2026-03-30 20:46 by dophin1985
[¿¼ÑÐ] ²ÄÁϹ¤³Ìר˶Çóµ÷¼Á +8 hyl3153942 2026-03-29 8/400 2026-03-30 20:45 by dophin1985
[¿¼ÑÐ] ²ÄÁÏÓ뻯¹¤£¨0856£©304ÇóBÇøµ÷¼Á +3 Çñgl 2026-03-30 7/350 2026-03-30 20:25 by 12022246319
[¿¼ÑÐ] 085600 286·Ö ²ÄÁÏÇóµ÷¼Á +11 ÂéÀ±öÏÓã 2026-03-27 12/600 2026-03-30 19:33 by Wang200018
[¿¼ÑÐ] Çóµ÷¼Á +7 Çà´º²ÃΪÈý½Ø 2026-03-29 7/350 2026-03-30 13:14 by laoshidan
[¿¼ÑÐ] 290Çóµ÷¼Á +3 dfffsar 2026-03-29 3/150 2026-03-29 22:38 by ëë밢Ī2
[¿¼ÑÐ] ¡¾Çóµ÷¼Á¡¿085601²ÄÁϹ¤³Ìר˶ | ×Ü·Ö272 | +7 ½Å»¬µÄÊØ·¨¹«Ãñ 2026-03-27 7/350 2026-03-29 20:21 by dophin1985
[¿¼ÑÐ] 086000ÉúÎïÓëÒ½Ò©µ÷¼Á +5 Feisty¡£ 2026-03-28 9/450 2026-03-29 12:02 by longlotian
[¿¼ÑÐ] 298Çóµ÷¼Á +4 ÖÖÊ¥´Í 2026-03-28 4/200 2026-03-29 08:42 by q1092522407
[¿¼ÑÐ] 343Çóµ÷¼Á +5 °®î¿°í 2026-03-28 5/250 2026-03-28 20:53 by ÌÆãå¶ù
[¿¼ÑÐ] 070300Çóµ÷¼Á306·Ö +4 26ÒªÉϰ¶ 2026-03-27 4/200 2026-03-28 13:06 by ÌÆãå¶ù
[¿¼ÑÐ] 266·Ö£¬Çó²ÄÁÏÒ±½ðÄÜÔ´»¯¹¤µÈµ÷¼Á +7 ÍÛºôºßºôºß 2026-03-27 9/450 2026-03-28 12:22 by zllcz
[¿¼ÑÐ] 0856µ÷¼Á +5 ÇóÇóÈÃÎÒÓÐÊé¶Á° 2026-03-26 6/300 2026-03-27 15:12 by caszguilin
[¿¼ÑÐ] 298µ÷¼Á +3 jiyingjie123 2026-03-27 3/150 2026-03-27 11:57 by wxiongid
[¿¼ÑÐ] Çóµ÷¼Á +3 Áõ¿Â@ 2026-03-24 4/200 2026-03-27 11:28 by shangxh
[¿¼ÑÐ] 081200-11408-276ѧ˶Çóµ÷¼Á +4 ´Þwj 2026-03-26 4/200 2026-03-27 08:04 by chemisry
[¿¼ÑÐ] 303Çóµ÷¼Á +6 À¶É½Ô 2026-03-25 6/300 2026-03-25 22:47 by 418490947
[¿¼ÑÐ] 302Çóµ÷¼Á +4 ½õÒÂÎÀÌÙ½· 2026-03-25 4/200 2026-03-25 16:29 by ¹¦·ò·è¿ñ
[¿¼ÑÐ] ¸÷λÀÏʦÄúºÃ£º±¾È˳õÊÔ372·Ö +5 jjÓ¿77 2026-03-25 6/300 2026-03-25 14:15 by mapenggao
ÐÅÏ¢Ìáʾ
ÇëÌî´¦ÀíÒâ¼û