| 查看: 419 | 回复: 2 | |
[求助]
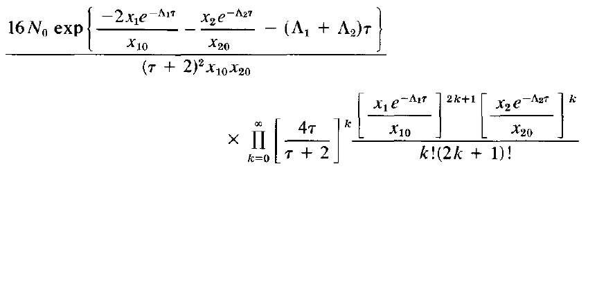
求助各位,这个公式有极限吗?
|
|
![]() |
|
|
|
|
|
2楼2017-01-12 22:23:46
|
|
![]() |
|
|
3楼2017-01-13 09:26:05
|
|













回复此楼
10