24小时热门版块排行榜    

查看: 515  |  回复: 1

kb542507

金虫 (小有名气)

[求助] 在matla里面用欧拉法解决简单常微分方程组

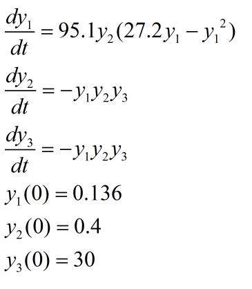
大家帮我看看附件图片中那个微分方程组怎么在matlab里面求得数值解呢?用欧拉法求数值解,谢谢啦

在matla里面用欧拉法解决简单常微分方程组
Euler方法.jpg
回复此楼
已阅   回复此楼   关注TA 给TA发消息 送TA红花 TA的回帖

kb542507

金虫 (小有名气)

自己顶一下
2楼2017-01-12 13:10:46
已阅   回复此楼   关注TA 给TA发消息 送TA红花 TA的回帖
相关版块跳转 我要订阅楼主 kb542507 的主题更新
最具人气热帖推荐 [查看全部] 作者 回/看 最后发表
[考研] 一志愿武理材料工程348求调剂 +6  ̄^ ̄゜汗 2026-03-19 9/450 2026-03-23 19:53 by pswait
[考研] 335求调剂 +3 yuyu宇 2026-03-23 4/200 2026-03-23 19:03 by macy2011
[考研] 考研化学308分求调剂 +7 你好明天你好 2026-03-23 8/400 2026-03-23 18:39 by macy2011
[考研] 生物学一志愿985,分数349求调剂 +6 zxts12 2026-03-21 9/450 2026-03-23 18:37 by macy2011
[考研] 298-一志愿中国农业大学-求调剂 +10 手机用户 2026-03-17 11/550 2026-03-23 16:30 by lingjue
[考研] 306求调剂 +9 chuanzhu川烛 2026-03-18 9/450 2026-03-23 13:17 by luoyongfeng
[考研] 310求调剂 +4 baibai1314 2026-03-16 4/200 2026-03-22 20:19 by edmund7
[考研] 311求调剂 +6 冬十三 2026-03-18 6/300 2026-03-22 20:18 by edmund7
[考研] 289求调剂 +7 怀瑾握瑜l 2026-03-20 7/350 2026-03-22 15:57 by ColorlessPI
[考研] 319求调剂 +4 小力气珂珂 2026-03-20 4/200 2026-03-22 15:53 by ColorlessPI
[考研] 303求调剂 +5 安忆灵 2026-03-22 6/300 2026-03-22 12:46 by 素颜倾城1988
[考研] 0703化学调剂 +4 妮妮ninicgb 2026-03-21 4/200 2026-03-21 18:39 by 学员8dgXkO
[考研] 求助 +5 梦里的无言 2026-03-21 6/300 2026-03-21 17:51 by 学员8dgXkO
[考研] 330求调剂0854 +3 assdll 2026-03-21 3/150 2026-03-21 13:01 by 搏击518
[考研] 南京大学化学376求调剂 +3 hisfailed 2026-03-19 6/300 2026-03-20 23:43 by hisfailed
[考研] 一志愿南昌大学,327分,材料与化工085600 +9 Ncdx123456 2026-03-19 9/450 2026-03-20 23:41 by lovewei0727
[考研] 一志愿武汉理工材料工程专硕调剂 +9 Doleres 2026-03-19 9/450 2026-03-20 22:36 by JourneyLucky
[考研] 288求调剂,一志愿华南理工大学071005 +5 ioodiiij 2026-03-17 5/250 2026-03-19 18:22 by zcl123
[考研] 0703化学调剂 +3 妮妮ninicgb 2026-03-17 3/150 2026-03-18 10:29 by macy2011
[硕博家园] 湖北工业大学 生命科学与健康学院-课题组招收2026级食品/生物方向硕士 +3 1喜春8 2026-03-17 5/250 2026-03-17 17:18 by ber川cool子
信息提示
请填处理意见