24小时热门版块排行榜    

查看: 1300  |  回复: 0

短刀

木虫 (著名写手)

美国总统他爹

[求助] 解两个偏微分方程组,不知道从哪下手

求大神帮个忙解一下这两个方程组,最好能给出MATLAB代码

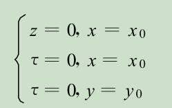
解两个偏微分方程组,不知道从哪下手
方程组.jpg


解两个偏微分方程组,不知道从哪下手-1
初始和边界条件.jpg
回复此楼
再吵吵打你哦
已阅   回复此楼   关注TA 给TA发消息 送TA红花 TA的回帖
相关版块跳转 我要订阅楼主 短刀 的主题更新
最具人气热帖推荐 [查看全部] 作者 回/看 最后发表
[考研] 求调剂一志愿武汉理工大学材料工程(085601) +3 WW.' 2026-03-23 5/250 2026-03-23 17:18 by 枫翼ljj
[考研] 0854电子信息求调剂 324 +3 Promise-jyl 2026-03-23 3/150 2026-03-23 13:43 by wangkm
[考研] 284求调剂 +6 Zhao anqi 2026-03-22 6/300 2026-03-23 09:23 by king123!
[考研] 280分求调剂 一志愿085802 +4 PUMPT 2026-03-22 7/350 2026-03-22 22:13 by 星空星月
[考研] 289材料与化工(085600)B区求调剂 +3 这么名字咋样 2026-03-22 4/200 2026-03-22 17:56 by 云民大李老师
[考研] 354求调剂 +7 Tyoumou 2026-03-18 10/500 2026-03-22 11:11 by 人来盛
[考研] 286分人工智能专业请求调剂愿意跨考! +4 lemonzzn 2026-03-17 8/400 2026-03-21 22:49 by lemonzzn
[考研] 材料学硕333求调剂 +3 北道巷 2026-03-18 3/150 2026-03-21 18:17 by 学员8dgXkO
[考研] 299求调剂 +4 某某某某位 2026-03-21 4/200 2026-03-21 16:30 by barlinike
[基金申请] 学校已经提交到NSFC,还能修改吗? 40+4 babangida 2026-03-19 9/450 2026-03-21 16:12 by babangida
[考研] 0805材料320求调剂 +3 深海物语 2026-03-20 3/150 2026-03-21 15:46 by 无际的草原
[考研] 321求调剂 +9 何润采123 2026-03-18 11/550 2026-03-20 23:19 by JourneyLucky
[考研] 一志愿武汉理工材料工程专硕调剂 +9 Doleres 2026-03-19 9/450 2026-03-20 22:36 by JourneyLucky
[考研] 求调剂,一志愿:南京航空航天大学大学 ,080500材料科学与工程学硕,总分289分 +4 @taotao 2026-03-19 4/200 2026-03-20 22:14 by JourneyLucky
[考研] 材料与化工 322求调剂 +4 然11 2026-03-19 4/200 2026-03-20 22:12 by luoyongfeng
[考研] 材料学硕297已过四六级求调剂推荐 +11 adaie 2026-03-19 11/550 2026-03-20 21:30 by laoshidan
[考研] 一志愿西南交通 专硕 材料355 本科双非 求调剂 +5 西南交通专材355 2026-03-19 5/250 2026-03-20 21:10 by JourneyLucky
[考研] 353求调剂 +3 拉钩不许变 2026-03-20 3/150 2026-03-20 19:56 by JourneyLucky
[考研] 0703化学调剂 +5 pupcoco 2026-03-17 8/400 2026-03-19 13:58 by houyaoxu
[考研] 【同济软件】软件(085405)考研求调剂 +3 2026eternal 2026-03-18 3/150 2026-03-18 19:09 by 搏击518
信息提示
请填处理意见