| ²é¿´: 851 | »Ø¸´: 2 | |
¶Ìµ¶Ä¾³æ (ÖøÃûдÊÖ)
ÃÀ¹ú×ÜͳËûµù
|
[ÇóÖú]
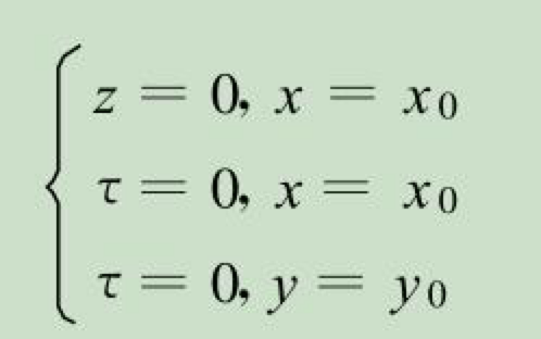
Çó½âÁ½¸öƫ΢·Ö·½³Ì×飬¿ÉÒÔʹÓÃÈκÎÈí¼þ»ò·½·¨
|
![]() |
|
|
|
|
¶Ìµ¶Ä¾³æ (ÖøÃûдÊÖ)
ÃÀ¹ú×ÜͳËûµù
|
|
![]() |
|
|
2Â¥2017-01-12 11:50:15
|
|
¶Ìµ¶Ä¾³æ (ÖøÃûдÊÖ)
ÃÀ¹ú×ÜͳËûµù
|
|
![]() |
|
|
3Â¥2017-01-12 11:50:45
|
|














»Ø¸´´ËÂ¥
40