| 查看: 1086 | 回复: 8 | |||
wwelaine00新虫 (小有名气)
|
[求助]
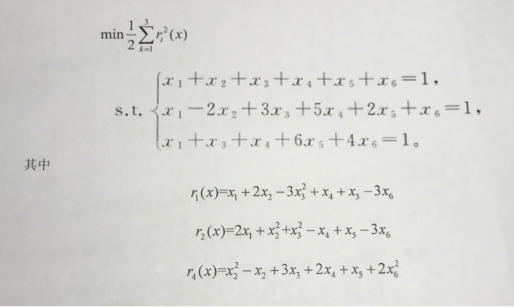
求高手帮忙解答如下约束最小问题的最优解!多谢多谢!已有2人参与
|
|
求高手帮忙解答如下约束最小问题的最优解,感激感激! 发自小木虫IOS客户端 |
» 猜你喜欢
请问哪里可以有青B申请的本子可以借鉴一下。
已经有4人回复
真诚求助:手里的省社科项目结项要求主持人一篇中文核心,有什么渠道能发核心吗
已经有6人回复
孩子确诊有中度注意力缺陷
已经有14人回复
三甲基碘化亚砜的氧化反应
已经有4人回复
请问下大家为什么这个铃木偶联几乎不反应呢
已经有5人回复
请问有评职称,把科研教学业绩算分排序的高校吗
已经有5人回复
2025冷门绝学什么时候出结果
已经有3人回复
天津工业大学郑柳春团队欢迎化学化工、高分子化学或有机合成方向的博士生和硕士生加入
已经有4人回复
康复大学泰山学者周祺惠团队招收博士研究生
已经有6人回复
AI论文写作工具:是科研加速器还是学术作弊器?
已经有3人回复
Mr__Right
专家顾问 (著名写手)
-

专家经验: +31 - 数学EPI: 1
- 应助: 317 (大学生)
- 金币: 14456.3
- 散金: 500
- 红花: 54
- 帖子: 2716
- 在线: 950.6小时
- 虫号: 1972612
- 注册: 2012-09-04
- 性别: GG
- 专业: 应用数学方法
- 管辖: 程序语言

2楼2017-01-07 20:14:29
wwelaine00
新虫 (小有名气)
- 应助: 0 (幼儿园)
- 金币: 210.5
- 散金: 190
- 红花: 1
- 帖子: 102
- 在线: 4.7小时
- 虫号: 5420386
- 注册: 2016-12-29
- 性别: GG
- 专业: 数学物理
3楼2017-01-07 22:00:31
wwelaine00
新虫 (小有名气)
- 应助: 0 (幼儿园)
- 金币: 210.5
- 散金: 190
- 红花: 1
- 帖子: 102
- 在线: 4.7小时
- 虫号: 5420386
- 注册: 2016-12-29
- 性别: GG
- 专业: 数学物理
4楼2017-01-07 22:04:21
ellen_idea
铁杆木虫 (著名写手)
- 应助: 0 (幼儿园)
- 金币: 10530.4
- 散金: 12
- 红花: 3
- 帖子: 1461
- 在线: 103.8小时
- 虫号: 312627
- 注册: 2006-12-31
- 专业: 管理工程
5楼2017-01-07 22:28:03
wwelaine00
新虫 (小有名气)
- 应助: 0 (幼儿园)
- 金币: 210.5
- 散金: 190
- 红花: 1
- 帖子: 102
- 在线: 4.7小时
- 虫号: 5420386
- 注册: 2016-12-29
- 性别: GG
- 专业: 数学物理
6楼2017-01-07 23:12:40
Mr__Right
专家顾问 (著名写手)
-

专家经验: +31 - 数学EPI: 1
- 应助: 317 (大学生)
- 金币: 14456.3
- 散金: 500
- 红花: 54
- 帖子: 2716
- 在线: 950.6小时
- 虫号: 1972612
- 注册: 2012-09-04
- 性别: GG
- 专业: 应用数学方法
- 管辖: 程序语言

7楼2017-01-08 09:14:13
dingd
铁杆木虫 (职业作家)
- 应助: 1641 (讲师)
- 金币: 15037.3
- 散金: 101
- 红花: 234
- 帖子: 3410
- 在线: 1223.5小时
- 虫号: 291104
- 注册: 2006-10-28
【答案】应助回帖
感谢参与,应助指数 +1
|
1stOpt求解,有两组吧: No. 1 2 x1 0.613171849604674 -0.702325268620922 x2 0.141961354983471 1.17411831970612 x3 -0.0989723027343964 -1.04350327341153 x4 0.194292116390336 1.34179412355961 x5 -0.153339795142139 0.242185011702972 x6 0.302886776898055 -0.0122689129362481 |
» 本帖已获得的红花(最新10朵)
8楼2017-01-08 19:23:57
wwelaine00
新虫 (小有名气)
- 应助: 0 (幼儿园)
- 金币: 210.5
- 散金: 190
- 红花: 1
- 帖子: 102
- 在线: 4.7小时
- 虫号: 5420386
- 注册: 2016-12-29
- 性别: GG
- 专业: 数学物理
9楼2017-01-08 22:36:51













回复此楼
wwelaine00