| 查看: 956 | 回复: 2 | |||
[求助]
TMPTA 紫外 聚合的机理和生成物
|
|
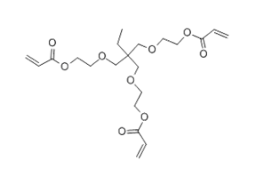
外行同学请教大家一个问题 已知A物质2-羟基-2-甲基-1-苯基-1-丙酮 B物质 TMPTA 乙氧基化三羟甲基丙烷三丙烯酸酯 A为紫外光引发剂,B应该才是聚合的物质,请教一下当紫外光照,发生交联聚合之后生成物质的结构图以及反应机理,如果有关于生成物的文章就更好了,非有机专业,对此完全不懂,谢谢大家了 |
» 猜你喜欢
网上报道青年教师午睡中猝死、熬夜猝死的越来越多,主要哪些原因引起的?
已经有5人回复
“人文社科而论,许多学术研究还没有达到民国时期的水平”
已经有6人回复
体制内长辈说体制内绝大部分一辈子在底层,如同你们一样大部分普通教师忙且收入低
已经有16人回复
版面费该交吗
已经有13人回复
面上可以超过30页吧?
已经有6人回复
为什么中国大学工科教授们水了那么多所谓的顶会顶刊,但还是做不出宇树机器人?
已经有10人回复
什么是人一生最重要的?
已经有4人回复

Mr__Right
专家顾问 (著名写手)
-

专家经验: +31 - 应助: 317 (大学生)
- 金币: 14456.3
- 散金: 500
- 红花: 54
- 帖子: 2716
- 在线: 950.6小时
- 虫号: 1972612
- 注册: 2012-09-04
- 性别: GG
- 专业: 应用数学方法
- 管辖: 程序语言

2楼2017-01-05 22:17:39

3楼2017-01-17 10:51:10













回复此楼