24小时热门版块排行榜    

北京石油化工学院2026年研究生招生接收调剂公告
查看: 1555  |  回复: 0

gongshenggao

银虫 (小有名气)

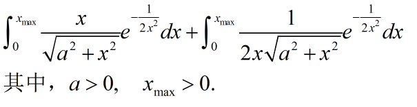
[求助] 求积分的解析表达式

求下图中积分的解析表达式,并给出详细的推导过程。

求积分的解析表达式
Q1.png

» 猜你喜欢

已阅   回复此楼   关注TA 给TA发消息 送TA红花 TA的回帖
相关版块跳转 我要订阅楼主 gongshenggao 的主题更新
最具人气热帖推荐 [查看全部] 作者 回/看 最后发表
[考研] 一志愿郑大0705求调剂 +3 橘十一 2026-04-02 4/200 2026-04-05 00:05 by chongya
[考研] 一志愿华北电力大学(北京),材料科学与工程学硕265,求调剂 +11 yelck 2026-04-03 12/600 2026-04-04 19:52 by dongzh2009
[考研] 385分 生物学(071000)求调剂 +9 qf626 2026-04-01 9/450 2026-04-04 18:10 by macy2011
[考研] 277工科求调剂 +7 1915668 2026-04-04 7/350 2026-04-04 17:21 by 啊俊!
[考研] 考研生物学考A区211,初试322,科目生化和生物综合,求调剂 +4 。。。54 2026-04-03 4/200 2026-04-04 16:09 by dongzh2009
[考研] 一志愿沪985,326分求调剂 +3 刘墨墨 2026-04-03 3/150 2026-04-04 11:16 by 悲伤的芋头
[考研] 数一英一274机械调剂 +4 星陨流霞 2026-04-04 5/250 2026-04-04 09:35 by liucky
[考研] 387求调剂 +4 爱吃片豆土 2026-04-03 5/250 2026-04-04 08:10 by 岸上的一条鱼
[考研] 求材料调剂,一志愿郑州大学289分 +15 硕星赴 2026-04-03 15/750 2026-04-04 01:01 by userper
[考研] 考研调剂 +5 小sun要好运 2026-04-03 5/250 2026-04-03 21:43 by 啵啵啵0119
[考研] 材料与化工调剂一志愿大连海事085600,349 +11 吃的不少 2026-03-30 11/550 2026-04-03 18:05 by Jimmyandyou
[考研] 专硕085601求调剂 +7 suyifei 2026-04-03 8/400 2026-04-03 14:00 by 欣喜777
[考研] 材料调剂 +4 一样YWY 2026-04-03 4/200 2026-04-03 09:48 by 蓝云思雨
[考研] 260求调剂 +3 朱芷琳 2026-04-02 3/150 2026-04-03 08:44 by yulian1987
[考研] 279求调剂 +5 傅文秋 2026-04-02 5/250 2026-04-02 18:10 by 笔落锦州
[考研] 311求调剂 +14 蓝月亮亮 2026-03-30 14/700 2026-04-02 12:18 by 1753564080
[考研] 085600 一志愿9 总分351 求调剂学校 +7 czhcz 2026-03-31 9/450 2026-04-01 19:24 by 无际的草原
[考研] 086000生物与医药 初试274求调剂 +5 小叮当来了 2026-03-30 6/300 2026-04-01 14:25 by mxj1203
[考研] 289求调剂 +7 BrightLL 2026-03-29 7/350 2026-03-31 22:05 by 544594351
[考研] 抱歉 +3 田洪有 2026-03-30 3/150 2026-03-30 19:11 by 迷糊CCPs
信息提示
请填处理意见