| 查看: 3373 | 回复: 1 | ||
[求助]
求助用MATLAB求解二维偏微分方程组
|
|
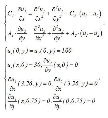
求助:MATLAB 用PDEtool求解偏微分方程组,但是结果显示unable to evaluate 'u',请哪位大神知道这是什么情况?是方程无解还是参数错误? 用PDEPE函数能解二维偏微分方程吗?要是用有限差分求解的话该如何编程 拜托各位大神了~ fangcheng.jpg |
» 猜你喜欢
深圳大学2026年秋博士招生-物理学-活性胶体方向-高永祥课题组
已经有18人回复
论物质与能量的统一模型及物理现象解释
已经有0人回复
物理学I论文润色/翻译怎么收费?
已经有267人回复
基于基元I统一理论的数学相关应用推导
已经有0人回复
基元I统一理论:宇宙本质、层级演化与修炼文明的本源规律
已经有1人回复
基元I理论下三大核心空间现象精准推导与细节解析
已经有0人回复
基于基元 I 统一理论的反重力理论推导
已经有0人回复
基于基元I统一理论的量子力学本源推导
已经有1人回复
推荐一款可以AI辅助写作的Latex编辑器SmartLatexEditor,超级好用,AI润色,全免费
已经有20人回复
【EI|Scopus 双检索】第六届智能机器人系统国际会议(ISoIRS 2026)
已经有0人回复
2026年第四届电动车与车辆工程国际会议(CEVVE 2026)
已经有0人回复
llc19930916
新虫 (小有名气)
- 应助: 0 (幼儿园)
- 金币: 1117.1
- 散金: 388
- 帖子: 210
- 在线: 82.8小时
- 虫号: 3790342
- 注册: 2015-04-06
- 性别: GG
- 专业: 分离过程
2楼2017-01-03 18:32:30













回复此楼