版块导航
正在加载中...
客户端APP下载
登录
注册
帖子
帖子
用户
本版
应《网络安全法》要求,自2017年10月1日起,未进行实名认证将不得使用互联网跟帖服务。为保障您的帐号能够正常使用,请尽快对帐号进行手机号验证,感谢您的理解与支持!
24小时热门版块排行榜
>
论坛更新日志
(3852)
>
虫友互识
(444)
>
文献求助
(410)
>
导师招生
(384)
>
基金申请
(297)
>
考博
(242)
>
休闲灌水
(121)
>
招聘信息布告栏
(104)
>
博后之家
(100)
>
硕博家园
(99)
>
论文投稿
(75)
>
绿色求助(高悬赏)
(37)
>
攻关文献(高奖励)
(34)
>
海归之家
(32)
>
SciFinder/Reaxys
(32)
>
仿真模拟
(31)
小木虫论坛-学术科研互动平台
»
计算模拟区
»
计算模拟
»
理论与计算方法
»
origin拟合非线性函数错误
7
1/1
返回列表
查看: 1294 | 回复: 6
只看楼主
@他人
存档
新回复提醒
(忽略)
收藏
在APP中查看
miss_doudou
铁虫
(初入文坛)
应助: 0
(幼儿园)
金币: 166.8
帖子: 6
在线: 14.3小时
虫号: 3424395
注册: 2014-09-17
[
求助
]
origin拟合非线性函数错误
已有1人参与
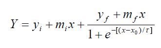
我想拟合图片中的公式是图1,在origin里输入的公式是图2,最后拟合不了,有哪位大神可以帮我拟合一下,感谢!
函数公式.png
截屏.png
回复此楼
» 猜你喜欢
【修正版】单环用磁约束低速电子实验方案(简化版)
已经有0人回复
桂林理工大学物理学专业招收调剂,还有三个名额!!!
已经有22人回复
物理学I论文润色/翻译怎么收费?
已经有256人回复
考博自荐
已经有4人回复
山东大学第二批博士研究生招生
已经有0人回复
中国科学院东莞材料科学与技术研究所-2026年博士招生-吴昊研究员-磁学与自旋电子学
已经有0人回复
《电磁学》教材推荐
已经有1人回复
【急招】合肥工大核聚变材料计算方向2026级工程博士生
已经有4人回复
大豆异黄酮分离
已经有0人回复
湖南大学材料学院急招2026年博士生,临时增加一名博士联培指标
已经有10人回复
天津理工大学晶体材料全国重点实验室刘红军教授课题组招收博士生1-2名
已经有0人回复
» 本主题相关价值贴推荐,对您同样有帮助:
利用Excel数据前处理,结合1stopt数据自定义拟合初值,美美origin数据作图分析!
已经有72人回复
【转】裸奔的Barabasi
已经有10人回复
应用origin进行非线性拟合自定义函数后进行编译时出现了错误,请教高手怎么解决?
已经有1人回复
origin75中自定义函数时说有错误
已经有3人回复
【求助】关于origin进行非线性拟合的自定义函数
已经有0人回复
【求助】关于origin进行非线性拟合的自定义函数
已经有7人回复
1楼
2016-12-29 15:35:16
已阅
回复此楼
关注TA
给TA发消息
送TA红花
TA的回帖
g57410000
木虫
(正式写手)
应助: 219
(大学生)
金币: 1917
红花: 67
帖子: 488
在线: 414.3小时
虫号: 3186425
注册: 2014-05-07
性别: GG
专业: 声学
【答案】应助回帖
★ ★ ★
感谢参与,应助指数 +1
miss_doudou: 金币+3,
★
有帮助
2017-02-23 16:00:41
数据都没有 咋弄?
赞
一下
回复此楼
微信公众号acoustic-world
2楼
2016-12-29 18:41:18
已阅
回复此楼
关注TA
给TA发消息
送TA红花
TA的回帖
miss_doudou
铁虫
(初入文坛)
应助: 0
(幼儿园)
金币: 166.8
帖子: 6
在线: 14.3小时
虫号: 3424395
注册: 2014-09-17
引用回帖:
2楼
:
Originally posted by
g57410000
at 2016-12-29 18:41:18
数据都没有 咋弄?
不好意思,没有放上去
0 83.7
3 91.2
3.5 131.1
5 162.3
8 298.8
12 465.6
24 673.7
30 841
48 874.8
60 900
赞
一下
回复此楼
3楼
2016-12-29 21:31:08
已阅
回复此楼
关注TA
给TA发消息
送TA红花
TA的回帖
月只蓝
主管区长
(职业作家)
专家经验: +1059
计算强帖: 8
应助: 1712
(讲师)
贵宾: 8.888
金币: 68141.7
散金: 1938
红花: 443
沙发: 4
帖子: 4373
在线: 3291.6小时
虫号: 1122189
注册: 2010-10-14
专业: 宇宙学
管辖:
计算模拟区
引用回帖:
3楼
:
Originally posted by
miss_doudou
at 2016-12-29 21:31:08
不好意思,没有放上去
0 83.7
3 91.2
3.5 131.1
5 162.3
8 298.8
12 465.6
24 673.7
30 841
48 874.8
60 900...
公式没写对,已经发现exp函数的写法错误
发自小木虫Android客户端
赞
一下
(1人)
回复此楼
MATLAB、MS小问题、普通问题请发帖求助!时间精力有限,恕不接受无偿私信求助。
4楼
2016-12-29 21:56:16
已阅
回复此楼
关注TA
给TA发消息
送TA红花
TA的回帖
g57410000
木虫
(正式写手)
应助: 219
(大学生)
金币: 1917
红花: 67
帖子: 488
在线: 414.3小时
虫号: 3186425
注册: 2014-05-07
性别: GG
专业: 声学
引用回帖:
3楼
:
Originally posted by
miss_doudou
at 2016-12-29 21:31:08
不好意思,没有放上去
0 83.7
3 91.2
3.5 131.1
5 162.3
8 298.8
12 465.6
24 673.7
30 841
48 874.8
60 900...
最后部分应该是exp((-1)*.......)或者exp(-......)
赞
一下
回复此楼
微信公众号acoustic-world
5楼
2016-12-30 08:03:06
已阅
回复此楼
关注TA
给TA发消息
送TA红花
TA的回帖
miss_doudou
铁虫
(初入文坛)
应助: 0
(幼儿园)
金币: 166.8
帖子: 6
在线: 14.3小时
虫号: 3424395
注册: 2014-09-17
引用回帖:
4楼
:
Originally posted by
月只蓝
at 2016-12-29 21:56:16
公式没写对,已经发现exp函数的写法错误
...
谢谢,已改,还有一个问题就是系数τ应该怎么输入?
赞
一下
回复此楼
6楼
2016-12-30 16:46:36
已阅
回复此楼
关注TA
给TA发消息
送TA红花
TA的回帖
miss_doudou
铁虫
(初入文坛)
应助: 0
(幼儿园)
金币: 166.8
帖子: 6
在线: 14.3小时
虫号: 3424395
注册: 2014-09-17
引用回帖:
5楼
:
Originally posted by
g57410000
at 2016-12-30 08:03:06
最后部分应该是exp((-1)*.......)或者exp(-......)...
谢谢,已改,还有一个问题就是系数τ应该怎么输入?
赞
一下
回复此楼
7楼
2016-12-30 16:47:33
已阅
回复此楼
关注TA
给TA发消息
送TA红花
TA的回帖
相关版块跳转
第一性原理
量子化学
计算模拟
分子模拟
仿真模拟
程序语言
我要订阅楼主
miss_doudou
的主题更新
7
1/1
返回列表
如果回帖内容含有宣传信息,请如实选中。否则帐号将被全论坛禁言
普通表情
龙
兔
虎
猫
百度网盘
|
360云盘
|
千易网盘
|
华为网盘
在新窗口页面中打开自己喜欢的网盘网站,将文件上传后,然后将下载链接复制到帖子内容中就可以了。
信息提示
关闭
请填处理意见
关闭
确定