版块导航
正在加载中...
客户端APP下载
论文辅导
调剂小程序
登录
注册
帖子
帖子
用户
本版
应《网络安全法》要求,自2017年10月1日起,未进行实名认证将不得使用互联网跟帖服务。为保障您的帐号能够正常使用,请尽快对帐号进行手机号验证,感谢您的理解与支持!
24小时热门版块排行榜
>
论坛更新日志
(2443)
>
虫友互识
(250)
>
文献求助
(70)
>
休闲灌水
(66)
>
导师招生
(51)
>
考博
(33)
>
硕博家园
(23)
>
基金申请
(22)
>
博后之家
(21)
>
论文道贺祈福
(20)
>
考研
(20)
>
教师之家
(18)
>
找工作
(17)
>
论文投稿
(17)
>
公派出国
(12)
>
绿色求助(高悬赏)
(7)
小木虫论坛-学术科研互动平台
»
化学化工区
»
电化学
»
化学电源
»
锂离子电池正极材料CV图谱解析求助
8
1/1
返回列表
查看: 1448 | 回复: 7
只看楼主
@他人
存档
新回复提醒
(忽略)
收藏
在APP中查看
jgf5419
木虫
(小有名气)
应助: 0
(幼儿园)
金币: 1663.8
帖子: 67
在线: 71.4小时
虫号: 814377
注册: 2009-07-23
性别:
MM
专业: 无机材料化学
[
求助
]
锂离子电池正极材料CV图谱解析求助
已有1人参与
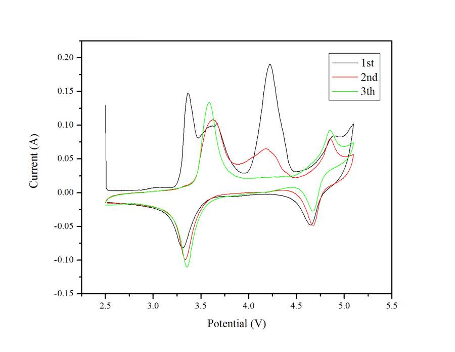
各位大神,求助一下这个CV图谱解析。本人新做的正极材料Fe掺杂的LiCo1-xFexPO4,装电池扫的CV,跪求大神帮忙看下,为啥4.6V处的还原峰3次的变化是越来越小,而3.3V处的确实逐渐增大?另外,其他氧化峰如何解释?杂质吗?
pH0.5FeCV.JPG
回复此楼
» 猜你喜欢
德国Karlsruhe Institute of Technology招收电化学储能及联合培养CSC博士等
已经有20人回复
德国Karlsruhe Institute of Technology招收电化学储能及联合培养CSC博士
已经有24人回复
物理化学论文润色/翻译怎么收费?
已经有174人回复
德国Karlsruhe Institute of Technology招收电化学储能及联合培养CSC博士
已经有1人回复
固态锂金属电池迁移数计算求助
已经有1人回复
荷兰奈梅亨大学赵文博与Galimberti课题组招收理论计算CSC博士 2000 欧元/月+房补
已经有0人回复
26储能博士申请自荐
已经有22人回复
上海交通大学--宁波东方理工大学电池方向博士招生
已经有10人回复
海南大学全国重点实验室杨金霖老师招收储能电池方向博士生(2026年3月报名,9月入学)
已经有1人回复
海南师范大学2026年博士研究生招收 (在职想提升学历人员可报考) 申请考核制+普通招考
已经有0人回复
申博求助
已经有0人回复
» 本主题相关商家推荐:
(我也要在这里推广)
» 本主题相关价值贴推荐,对您同样有帮助:
锂离子电池正极材料LiNi0.5Mn1.5O4循环性能以及倍率性能的问题(急!!!)
已经有10人回复
动力型锂离子电池正极材料产业化论叙——三元材料篇
已经有38人回复
锂离子电池正极材料
已经有2人回复
锂离子电池正极材料进行金属掺杂时的价态问题
已经有0人回复
关于锂离子电池正极材料L12FeSiO4的合成及相图问题,谢谢!
已经有5人回复
求助锂离子电池正极材料电容值小怎么解决?
已经有2人回复
如何根据放电容量计算锂离子电池正极材料在放电过程中嵌入的锂离子的摩尔数
已经有2人回复
新一代高能量密度动力锂离子电池正极材料——磷酸锰锂
已经有21人回复
锂离子电池正极材料LiFePO4/C的振实密度
已经有11人回复
微波合成锂离子电池正极材料磷酸铁锂工艺及其改性的研究
已经有88人回复
【求助】有关锂离子电池正极材料研究的文章都集中在哪些刊物上呢?
已经有12人回复
【求助】第一性原理研究锂离子电池正极材料的文章都集中在哪些刊物上?
已经有5人回复
【专题】动力锂离子电池正极材料路线日趋明朗
已经有45人回复
1楼
2016-12-27 09:52:54
已阅
回复此楼
关注TA
给TA发消息
送TA红花
TA的回帖
jgf5419
木虫
(小有名气)
应助: 0
(幼儿园)
金币: 1663.8
帖子: 67
在线: 71.4小时
虫号: 814377
注册: 2009-07-23
性别:
MM
专业: 无机材料化学
自己顶一下,跪求各位大神解惑
发自小木虫Android客户端
赞
一下
回复此楼
2楼
2016-12-28 08:00:05
已阅
回复此楼
关注TA
给TA发消息
送TA红花
TA的回帖
xmq135828
铁杆木虫
(著名写手)
ECEPI: 1
应助: 96
(初中生)
金币: 323.4
散金: 5804
红花: 48
帖子: 1535
在线: 1694.1小时
虫号: 1267622
注册: 2011-04-16
专业: 无机非金属材料
这么高的电压,电解液自己配的吗?
赞
一下
回复此楼
3楼
2016-12-28 09:54:55
已阅
回复此楼
关注TA
给TA发消息
送TA红花
TA的回帖
jgf5419
木虫
(小有名气)
应助: 0
(幼儿园)
金币: 1663.8
帖子: 67
在线: 71.4小时
虫号: 814377
注册: 2009-07-23
性别:
MM
专业: 无机材料化学
引用回帖:
3楼
:
Originally posted by
xmq135828
at 2016-12-28 09:54:55
这么高的电压,电解液自己配的吗?
买的电解液
回复此楼
4楼
2016-12-28 10:57:53
已阅
回复此楼
关注TA
给TA发消息
送TA红花
TA的回帖
xmq135828
铁杆木虫
(著名写手)
ECEPI: 1
应助: 96
(初中生)
金币: 323.4
散金: 5804
红花: 48
帖子: 1535
在线: 1694.1小时
虫号: 1267622
注册: 2011-04-16
专业: 无机非金属材料
引用回帖:
4楼
:
Originally posted by
jgf5419
at 2016-12-28 10:57:53
买的电解液...
方便透露是那个厂家的吗?
赞
一下
回复此楼
5楼
2016-12-28 11:27:14
已阅
回复此楼
关注TA
给TA发消息
送TA红花
TA的回帖
ywuweizi
版主
(著名写手)
ECEPI: 5
应助: 592
(博士)
贵宾: 0.059
金币: 14403.8
散金: 721
红花: 198
沙发: 1
帖子: 2616
在线: 859.9小时
虫号: 850237
注册: 2009-09-17
性别:
MM
专业: 电化学
管辖:
电化学
【答案】应助回帖
感谢参与,应助指数 +1
4.6V处是还原峰?正扫还是反扫。
赞
一下
回复此楼
6楼
2016-12-28 11:35:55
已阅
回复此楼
关注TA
给TA发消息
送TA红花
TA的回帖
jgf5419
木虫
(小有名气)
应助: 0
(幼儿园)
金币: 1663.8
帖子: 67
在线: 71.4小时
虫号: 814377
注册: 2009-07-23
性别:
MM
专业: 无机材料化学
引用回帖:
6楼
:
Originally posted by
ywuweizi
at 2016-12-28 11:35:55
4.6V处是还原峰?正扫还是反扫。
正扫。
回复此楼
7楼
2016-12-29 09:39:50
已阅
回复此楼
关注TA
给TA发消息
送TA红花
TA的回帖
ywuweizi
版主
(著名写手)
ECEPI: 5
应助: 592
(博士)
贵宾: 0.059
金币: 14403.8
散金: 721
红花: 198
沙发: 1
帖子: 2616
在线: 859.9小时
虫号: 850237
注册: 2009-09-17
性别:
MM
专业: 电化学
管辖:
电化学
【答案】应助回帖
正扫就是氧化峰,有可能是电解液氧化引起的,首次循环氧化严重,后面减弱了。
赞
一下
回复此楼
8楼
2016-12-29 09:50:03
已阅
回复此楼
关注TA
给TA发消息
送TA红花
TA的回帖
相关版块跳转
有机交流
有机资源
高分子
无机/物化
分析
催化
工艺技术
化工设备
石油化工
精细化工
电化学
环境
SciFinder/Reaxys
我要订阅楼主
jgf5419
的主题更新
8
1/1
返回列表
如果回帖内容含有宣传信息,请如实选中。否则帐号将被全论坛禁言
普通表情
龙
兔
虎
猫
百度网盘
|
360云盘
|
千易网盘
|
华为网盘
在新窗口页面中打开自己喜欢的网盘网站,将文件上传后,然后将下载链接复制到帖子内容中就可以了。
信息提示
关闭
请填处理意见
关闭
确定