| ²é¿´: 819 | »Ø¸´: 4 | ||||
ys38079456½ð³æ (СÓÐÃûÆø)
|
[ÇóÖú]
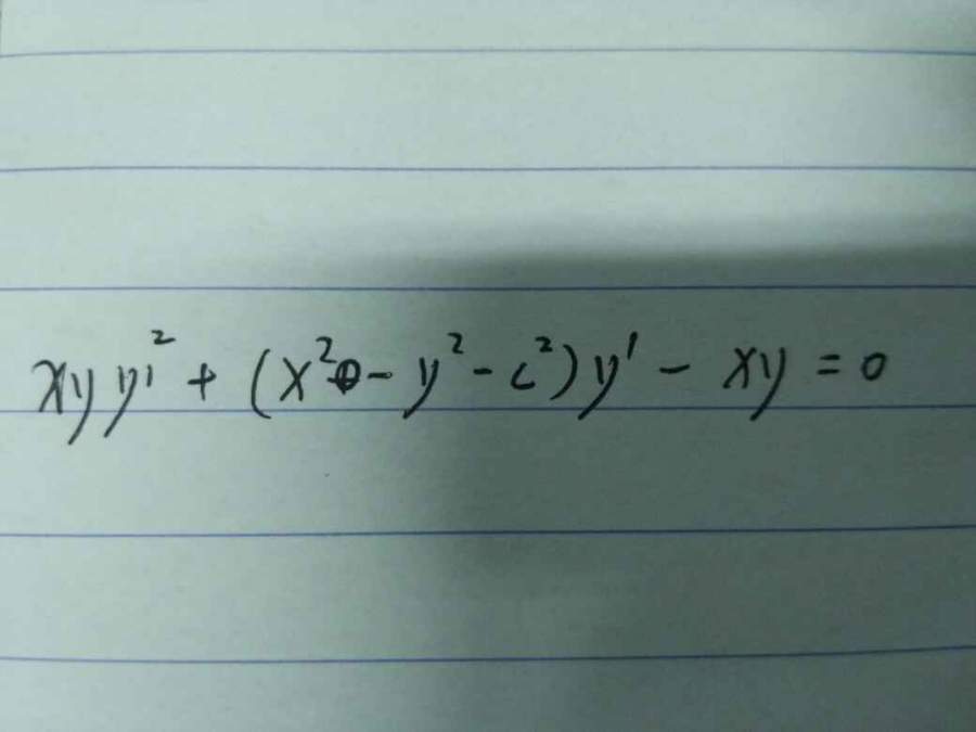
ÓÉÍÖÔ²¹âѧ¶¨ÒåÇó·½³Ì ÒÑÓÐ1È˲ÎÓë
|
|
ÒÑÖªf1£¨-c£¬0£©£¬f2£¨c£¬0£©£¬´Óf1³öÉäµÄ¹âÏß¾ÇúÃæ·´Éä¹ýf2£¬ÇóÇúÃæ·½³Ì£¿ Ò»¸ö΢·Ö·½³ÌÎÊÌ⣬²»Ì«»á @laosam280 ·¢×ÔСľ³æAndroid¿Í»§¶Ë |
» ²ÂÄãϲ»¶
Ò»Ö¾Ô¸ÖÐÄÏ»¯Ñ§337Çóµ÷¼Á
ÒѾÓÐ5È˻ظ´
281Çóµ÷¼Á£¨0805£©
ÒѾÓÐ23È˻ظ´
265Çóµ÷¼Á
ÒѾÓÐ9È˻ظ´
279·ÖÇóµ÷¼Á Ò»Ö¾Ô¸211
ÒѾÓÐ10È˻ظ´
ÕÐÊÕµ÷¼Á˶ʿ
ÒѾÓÐ12È˻ظ´
296Çóµ÷¼Á
ÒѾÓÐ8È˻ظ´
ÕÐÊÕ²©Ê¿1-2ÈË
ÒѾÓÐ3È˻ظ´
085700×ÊÔ´Óë»·¾³308Çóµ÷¼Á
ÒѾÓÐ11È˻ظ´
274Çóµ÷¼Á
ÒѾÓÐ8È˻ظ´
290Çóµ÷¼Á
ÒѾÓÐ4È˻ظ´
ys38079456
½ð³æ (СÓÐÃûÆø)
- Ó¦Öú: 2 (Ó×¶ùÔ°)
- ½ð±Ò: 1425.4
- É¢½ð: 178
- ºì»¨: 3
- Ìû×Ó: 195
- ÔÚÏß: 91.8Сʱ
- ³æºÅ: 4031942
- ×¢²á: 2015-08-21
- ÐÔ±ð: GG
- רҵ: ÐÇϵºÍÀàÐÇÌå
2Â¥2016-12-25 18:42:41
ys38079456
½ð³æ (СÓÐÃûÆø)
- Ó¦Öú: 2 (Ó×¶ùÔ°)
- ½ð±Ò: 1425.4
- É¢½ð: 178
- ºì»¨: 3
- Ìû×Ó: 195
- ÔÚÏß: 91.8Сʱ
- ³æºÅ: 4031942
- ×¢²á: 2015-08-21
- ÐÔ±ð: GG
- רҵ: ÐÇϵºÍÀàÐÇÌå
3Â¥2016-12-25 18:43:04
Mr__Right
ר¼Ò¹ËÎÊ (ÖøÃûдÊÖ)
-

ר¼Ò¾Ñé: +31 - ÊýѧEPI: 1
- Ó¦Öú: 317 (´óѧÉú)
- ½ð±Ò: 14456.3
- É¢½ð: 500
- ºì»¨: 54
- Ìû×Ó: 2716
- ÔÚÏß: 950.6Сʱ
- ³æºÅ: 1972612
- ×¢²á: 2012-09-04
- ÐÔ±ð: GG
- רҵ: Ó¦ÓÃÊýѧ·½·¨
- ¹ÜϽ: ³ÌÐòÓïÑÔ
¡¾´ð°¸¡¿Ó¦Öú»ØÌû
¡ï ¡ï ¡ï ¡ï ¡ï ¡ï ¡ï ¡ï ¡ï ¡ï ¡ï ¡ï ¡ï ¡ï ¡ï ¡ï ¡ï ¡ï ¡ï ¡ï ¡ï ¡ï ¡ï ¡ï ¡ï ¡ï ¡ï ¡ï ¡ï ¡ï ¡ï ¡ï ¡ï ¡ï ¡ï ¡ï ¡ï ¡ï ¡ï ¡ï ¡ï ¡ï ¡ï ¡ï ¡ï ¡ï ¡ï ¡ï ¡ï ¡ï ¡ï ¡ï ...
¸Ðл²ÎÓ룬ӦÖúÖ¸Êý +1
ys38079456: ½ð±Ò+60, ¡ï¡ï¡ï¡ï¡ï×î¼Ñ´ð°¸ 2016-12-27 13:25:36
¸Ðл²ÎÓ룬ӦÖúÖ¸Êý +1
ys38079456: ½ð±Ò+60, ¡ï¡ï¡ï¡ï¡ï×î¼Ñ´ð°¸ 2016-12-27 13:25:36
|
ÄãÕâÑù¶¨ÒåµÄ ·ÇÏßÐÔ³£Î¢·Ö·½³Ì±¾Éí²»Ò×Çó½â 1. ÒòΪÍÖÔ²ÐÍ»òË«ÇúÏßÐ͵ÄÔ²×¶ÇúÏß¶¼¿ÉÄÜÊǽ⣻ 2. ±¾À´·ÇÏßÐÔ³£Î¢·Ö·½³Ì¾Í²»Ò»¶¨Óмòµ¥½â£¬ÄÜÇó½âÎö½âµÄ£¬·½·¨ÍùÍùÒ²ºÜÌØÊ⣻ 2. ¼ÓÉÏÒѾ֪µÀµÄ£¬½â±¾ÉíûÓмòµ¥µÄ³õµÈº¯ÊýÐÎʽ£¬¸øÇó½â´øÀ´À§ÄÑ£» ²»¹ýÀàËÆµÄÀý×ӺͽⷨÒѾÓйýÁË£¬Äã¿ÉÒԲο¼Ï http://math.stackexchange.com/qu ... n-of-which-is-known |

4Â¥2016-12-26 12:26:19
ys38079456
½ð³æ (СÓÐÃûÆø)
- Ó¦Öú: 2 (Ó×¶ùÔ°)
- ½ð±Ò: 1425.4
- É¢½ð: 178
- ºì»¨: 3
- Ìû×Ó: 195
- ÔÚÏß: 91.8Сʱ
- ³æºÅ: 4031942
- ×¢²á: 2015-08-21
- ÐÔ±ð: GG
- רҵ: ÐÇϵºÍÀàÐÇÌå
5Â¥2016-12-26 23:48:31













»Ø¸´´ËÂ¥