Znn3bq.jpeg
±±¾©Ê¯ÓÍ»¯¹¤Ñ§Ôº2026ÄêÑо¿ÉúÕÐÉú½ÓÊÕµ÷¼Á¹«¸æ
²é¿´: 3862  |  »Ø¸´: 25

WashingGong

½ð³æ (ÖøÃûдÊÖ)

[ÇóÖú] ÈçºÎÖ±½Ó½âÎöÇó½â¼ò»¯ºóµÄNS·½³Ì

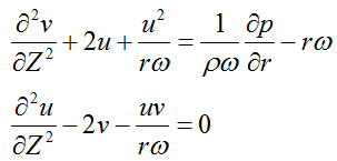
ÈçͼÖмò»¯ºóµÄ·ÇÏßÐÔÆ«Î¢·Ö·½³Ì£¬´ýÇó½â±äÁ¿Ö»ÓÐuºÍv£¬ÆäËû¶¼¿ÉÊÓΪ³£Á¿¡£ÇëÎʳýÁËÊýÖµÇó½â·½·¨»¹ÓÐûÓпÉÒÔÖ±½Ó½âÎöÇó½âµÄ·½·¨£¿²»Ê¤¸Ð¼¤

ÈçºÎÖ±½Ó½âÎöÇó½â¼ò»¯ºóµÄNS·½³Ì
¹«Ê½.png@ÔÂÖ»À¶@beefly
»Ø¸´´ËÂ¥
ÒÑÔÄ   »Ø¸´´ËÂ¥   ¹Ø×¢TA ¸øTA·¢ÏûÏ¢ ËÍTAºì»¨ TAµÄ»ØÌû
2Â¥2017-08-17 18:56:32
ÒÑÔÄ   »Ø¸´´ËÂ¥   ¹Ø×¢TA ¸øTA·¢ÏûÏ¢ ËÍTAºì»¨ TAµÄ»ØÌû
3Â¥2017-08-17 19:54:59
ÒÑÔÄ   »Ø¸´´ËÂ¥   ¹Ø×¢TA ¸øTA·¢ÏûÏ¢ ËÍTAºì»¨ TAµÄ»ØÌû
4Â¥2017-08-18 00:20:19
ÒÑÔÄ   »Ø¸´´ËÂ¥   ¹Ø×¢TA ¸øTA·¢ÏûÏ¢ ËÍTAºì»¨ TAµÄ»ØÌû
5Â¥2017-08-18 01:14:10
ÒÑÔÄ   »Ø¸´´ËÂ¥   ¹Ø×¢TA ¸øTA·¢ÏûÏ¢ ËÍTAºì»¨ TAµÄ»ØÌû
6Â¥2017-08-18 03:15:59
ÒÑÔÄ   »Ø¸´´ËÂ¥   ¹Ø×¢TA ¸øTA·¢ÏûÏ¢ ËÍTAºì»¨ TAµÄ»ØÌû
7Â¥2017-08-18 15:11:41
ÒÑÔÄ   »Ø¸´´ËÂ¥   ¹Ø×¢TA ¸øTA·¢ÏûÏ¢ ËÍTAºì»¨ TAµÄ»ØÌû
8Â¥2017-08-18 16:04:06
ÒÑÔÄ   »Ø¸´´ËÂ¥   ¹Ø×¢TA ¸øTA·¢ÏûÏ¢ ËÍTAºì»¨ TAµÄ»ØÌû
9Â¥2017-08-18 23:50:03
ÒÑÔÄ   »Ø¸´´ËÂ¥   ¹Ø×¢TA ¸øTA·¢ÏûÏ¢ ËÍTAºì»¨ TAµÄ»ØÌû
10Â¥2017-08-19 00:38:35
ÒÑÔÄ   »Ø¸´´ËÂ¥   ¹Ø×¢TA ¸øTA·¢ÏûÏ¢ ËÍTAºì»¨ TAµÄ»ØÌû
Ïà¹Ø°æ¿éÌø×ª ÎÒÒª¶©ÔÄÂ¥Ö÷ WashingGong µÄÖ÷Ìâ¸üÐÂ
×î¾ßÈËÆøÈÈÌûÍÆ¼ö [²é¿´È«²¿] ×÷Õß »Ø/¿´ ×îºó·¢±í
[¿¼ÑÐ] Ò»Ö¾Ô¸¼ª´ó»¯Ñ§327Çóµ÷¼Á +9 ÍõÍõ°×ʯ 2026-04-06 10/500 2026-04-07 19:55 by macy2011
[¿¼ÑÐ] ÉúÎïѧ308·ÖÇóµ÷¼Á£¨Ò»Ö¾Ô¸»ª¶«Ê¦´ó£© +11 ÏàÐűػá¹ââÍòÕ 2026-04-06 14/700 2026-04-07 19:40 by biomichael
[¿¼ÑÐ] 085600²ÄÁÏÓ뻯¹¤£¬Çóµ÷¼Á +5 won_qii 2026-04-07 5/250 2026-04-07 17:10 by à£à£à£0119
[¿¼ÑÐ] 085500»úеר˶³õÊÔ288Çóµ÷¼Á +3 GZJguo666- 2026-04-05 3/150 2026-04-05 18:06 by jkddd
[¿¼ÑÐ] µ÷¼Á +5 ºÃºÃ¶ÁÊé¡£ 2026-04-01 5/250 2026-04-05 17:54 by liucky
[¿¼ÑÐ] ²ÄÁÏÓ뻯¹¤306·ÖÕÒµ÷¼Á +12 ²×º£ÇáÖÛe 2026-04-03 13/650 2026-04-04 23:45 by lqwchd
[¿¼ÑÐ] ²ÄÁϵ÷¼Á +10 ÀÁÑòÑòÇáÖÃÓñÍÎ 2026-04-02 11/550 2026-04-04 21:56 by laoshidan
[¿¼ÑÐ] 341Çóµ÷¼Á +3 Âå¶àÂÞ 2026-04-02 4/200 2026-04-04 21:36 by ÖÇÄÜÖÇ»Û
[¿¼ÑÐ] Ò»Ö¾Ô¸»¦985£¬326·ÖÇóµ÷¼Á +3 Áõīī 2026-04-03 3/150 2026-04-04 11:16 by ±¯É˵ÄÓóÍ·
[¿¼ÑÐ] Ò»Ö¾Ô¸ÖØÇì´óѧ085404£¬×Ü·Ö314·Ö£¬Çóµ÷¼Á +4 zf83hn 2026-04-03 4/200 2026-04-03 21:25 by à£à£à£0119
[¿¼ÑÐ] 335Çóµ÷¼Á +7 ÉòÇåÁ§ 2026-04-03 7/350 2026-04-03 18:55 by lijunpoly
[¿¼ÑÐ] 274Çóµ÷¼Á +9 ˳Àí³ÉÕÅ 2026-04-03 10/500 2026-04-03 15:10 by °¡¿¡£¡
[¿¼ÑÐ] ½¨»·£¬ÄÜÔ´£¬ÍÁľÀÏʦ·¹ý¿´Ò»¿´£¡£¡£¡ +5 ºÙºÙuu 2026-04-01 5/250 2026-04-03 11:47 by znian
[¿¼ÑÐ] ³õÊԳɼ¨337ÕÒµ÷¼Á +3 ??? ?. ? 2026-04-03 3/150 2026-04-03 11:43 by ÍÁľ˶ʿÕÐÉú
[¿¼ÑÐ] Ò»Ö¾Ô¸Éî´ó085601²ÄÁϹ¤³Ìרҵ£¨×¨Ë¶£©300·Ö¿ÉÒÔµ÷¼ÁÈ¥ÄÄ +8 10160315 2026-04-02 8/400 2026-04-03 09:36 by hypershenger
[¿¼ÑÐ] 296Çóµ÷¼Á +4 sdhu 2026-04-02 4/200 2026-04-02 21:29 by baoball
[¿¼ÑÐ] 283Çóµ÷¼Á +3 jiouuu 2026-04-02 4/200 2026-04-02 14:08 by ßÕßÕßÕßÉßÉßÉ
[¿¼ÑÐ] 279Çóµ÷¼Á +6 ѧ¶øË¼ÙâÖª 2026-04-01 6/300 2026-04-02 09:16 by vgtyfty
[¿¼ÑÐ] Çóµ÷¼Á£¬Ò»Ö¾Ô¸ÄϾ©Ê¦·¶´óѧ¼ÆËã»úר˶£¬³õÊÔ373£¬Áù¼¶Í¨¹ý£¬ +3 ¼ÆËã»ú×·ÃÎÈË 2026-04-01 3/150 2026-04-02 07:57 by fxue1114
[¿¼ÑÐ] Çóµ÷¼Á£ºÒ»Ö¾Ô¸£ºÄϾ©´óѧ רҵ£º0705 ×Ü·Ö320 £¬±¾¿Æ985£¬ËÄÁù¼¶Òѹý +3 lfy760306 2026-03-31 3/150 2026-04-01 01:57 by Creta
ÐÅÏ¢Ìáʾ
ÇëÌî´¦ÀíÒâ¼û