| 查看: 1141 | 回复: 6 | ||
[求助]
求助:紫外吸收出现这样的图时什么原因?谢谢大家
|
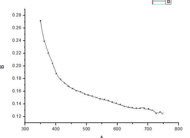
各位虫友们好,我测得是一种买回来的样品,用一种有机溶剂溶解了后,然后离心取得上清液测紫外,得到的图谱如下,这样是说明没有吸收么?但为什么起始吸收线不是从0开始的一条线,而是这样一条线,对了溶液是无色的,大家觉得是怎么一回事呢,请多多指教,谢谢大家了![]() ![]() ![]() 紫外图谱 |
» 猜你喜欢
考研求调剂
已经有13人回复
求调剂
已经有3人回复
人工智能320调剂08工类还有机会吗
已经有17人回复
考研英一数一338分
已经有10人回复
求助调剂,跨调
已经有15人回复
085600材料与化工329分求调剂
已经有20人回复
085600材料与化工349分求调剂
已经有15人回复
求调剂
已经有13人回复
一志愿华南理工大学331分材料求调剂
已经有11人回复
271求调剂
已经有40人回复
wangrui0517
铜虫 (正式写手)
- 应助: 6 (幼儿园)
- 金币: 61.7
- 散金: 649
- 红花: 5
- 帖子: 578
- 在线: 135.9小时
- 虫号: 3288914
- 注册: 2014-06-23
- 性别: GG
- 专业: 有机分子功能材料化学

2楼2016-12-25 17:13:54
3楼2016-12-25 23:24:42
USTBchen
银虫 (小有名气)
- 应助: 1 (幼儿园)
- 金币: 2841.6
- 红花: 2
- 帖子: 270
- 在线: 97.8小时
- 虫号: 2866156
- 注册: 2013-12-12
- 专业: 环境分析化学
4楼2016-12-25 23:55:13
5楼2016-12-26 09:48:39
USTBchen
银虫 (小有名气)
- 应助: 1 (幼儿园)
- 金币: 2841.6
- 红花: 2
- 帖子: 270
- 在线: 97.8小时
- 虫号: 2866156
- 注册: 2013-12-12
- 专业: 环境分析化学
6楼2016-12-26 19:17:57
7楼2016-12-26 23:06:19















回复此楼