| 查看: 1180 | 回复: 1 | ||
| 本帖产生 1 个 博学EPI ,点击这里进行查看 | ||
[求助]
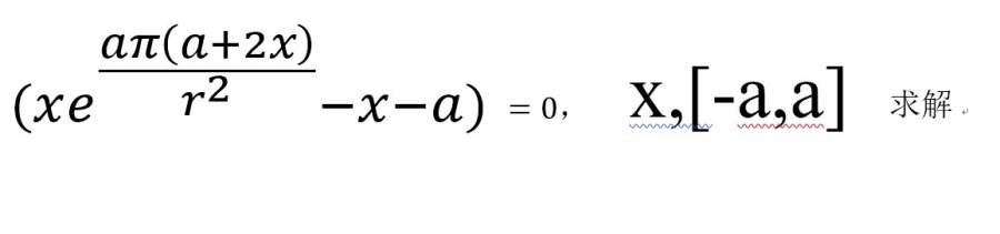
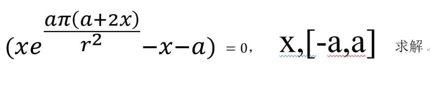
含参数 方程求解
|
||
|
|
||
| 回帖置顶 ( 共有1个 ) | ||
yyuucc123木虫 (著名写手)
|
【答案】应助回帖
★ ★ ★ ★ ★ ★ ★ ★ ★ ★
cumtgcs: 金币+10, 博学EPI+1, ★★★很有帮助 2017-01-01 16:05:46
|
|
|
2楼2016-12-26 21:51:42
|
|
|













回复此楼