版块导航
正在加载中...
客户端APP下载
登录
注册
帖子
帖子
用户
本版
应《网络安全法》要求,自2017年10月1日起,未进行实名认证将不得使用互联网跟帖服务。为保障您的帐号能够正常使用,请尽快对帐号进行手机号验证,感谢您的理解与支持!
24小时热门版块排行榜
>
论坛更新日志
(3790)
>
虫友互识
(435)
>
文献求助
(408)
>
导师招生
(378)
>
基金申请
(291)
>
考博
(242)
>
休闲灌水
(118)
>
招聘信息布告栏
(102)
>
硕博家园
(99)
>
博后之家
(98)
>
论文投稿
(72)
>
绿色求助(高悬赏)
(37)
>
攻关文献(高奖励)
(34)
>
海归之家
(32)
>
SciFinder/Reaxys
(29)
>
考研
(29)
小木虫论坛-学术科研互动平台
»
专业学科区
»
数学
»
基础数学
»
一个公式的推导看不懂,求指教
13
1/1
返回列表
查看: 1509 | 回复: 12
只看楼主
@他人
存档
新回复提醒
(忽略)
收藏
在APP中查看
xingya
金虫
(小有名气)
应助: 0
(幼儿园)
金币: 566.7
帖子: 166
在线: 110.4小时
虫号: 2740276
[交流]
一个公式的推导看不懂,求指教
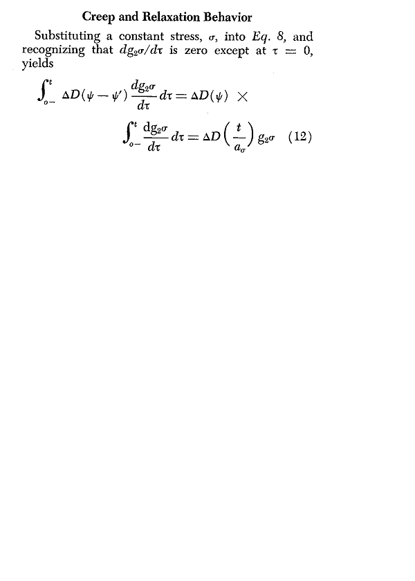
请问一下,图片中的公式里,既然dg2σ/dτ是零,为什么整个积分不是零呢?
推导过程.png
回复此楼
» 猜你喜欢
青C资助名额大幅增加!
已经有11人回复
重磅!青年科学基金项目(C类)资助增幅预计超过50%
已经有6人回复
有带发论文的吗
已经有3人回复
导师各种操作恶心咋办
已经有13人回复
本人最近太闲了,谁有问题可以提,每天会统一回复
已经有12人回复
护理论文 晋升
已经有5人回复
求助大佬sci投稿哪个好中
已经有4人回复
评审感受-评审感受-评审感受
已经有14人回复
这年头没有找到涵评专家,还有中面上的可能吗
已经有6人回复
2026博士申请求助
已经有10人回复
高级回复
» 抢金币啦!回帖就可以得到:
查看全部散金贴
苏州国家实验室材料综合研究设施(能源分总体)招聘
+
1
/986
深圳理工大学招收博士生-拉曼生物医学课题组
+
1
/87
机器人关节电机、减速器、灵巧手等岗位招聘,薪酬优厚
+
1
/86
南京赫尔辛基大气与地球系统科学学院HALONEN ROOPE MIKKO SANTERI课题组招聘博士后
+
1
/67
海南大学生物医学工程学院 阿尔茨海默病早期诊断与检测团队 招2026申请考核制博士
+
1
/57
南方科技大学物理系 CSLM Lab 招生招聘 (软物质/生物物理,Physics of AI)
+
1
/42
海南大学黄玲/徐从军团队2026年博士研究生
+
1
/38
安徽农业大学材料与化学学院纤维再生与功能集成课题组博士后招聘
+
1
/33
安徽农业大学植物保护博士研究生招生(报名截止到 5月20日)-生物或者化学方向
+
1
/16
昆明理工大学余富朝团队2026年诚招有机化学/生物化学等方向“申请-审核”博士研究生
+
1
/15
本科XJTU硕士UCL目前就职双非一本,希望base西安的社会学or教育学博导收留
+
1
/15
南昌大学 物理与材料学院招收2026年申请考核博士1名 化学、材料、催化相关专业
+
1
/13
山东大学集成电路学院招收2026年9月入学的博士研究生
+
1
/11
中国农业大学资源与环境学院 - 招聘杰出人才、青年研究员、优秀人才和博士后
+
1
/10
中国科学院深圳先进院成会明院士—王锋项目高级工程师诚聘博士后(医用分离膜方向)
+
1
/8
华侨大学(厦门)——急招化工/材料/化学/能动——26年9月份博士
+
1
/7
首都医科大学药学院2026年申请考核制博士研究生招生/有机合成/药物化学 5.15报名
+
1
/7
【第2批博士还有名额,申请考核制】国家杰青王铁、国家高层次人才刘莎课题组
+
1
/5
日常分享MU
+
1
/4
清华大学化学系赵亮课题组诚聘博士后
+
1
/1
1楼
2016-12-22 20:21:57
已阅
回复此楼
关注TA
给TA发消息
送TA红花
TA的回帖
青云丹鹤
至尊木虫
(文坛精英)
应助: 2
(幼儿园)
金币: 20665.3
帖子: 17367
在线: 1210.1小时
虫号: 3462605
★
xingya(金币+1): 谢谢参与
祝好
回复此楼
3楼
2016-12-22 20:51:44
已阅
回复此楼
关注TA
给TA发消息
送TA红花
TA的回帖
苏公子
新虫
(小有名气)
应助: 1
(幼儿园)
金币: 627.4
帖子: 140
在线: 46.4小时
虫号: 2641753
★
xingya(金币+1): 谢谢参与
注意except
发自小木虫Android客户端
回复此楼
6楼
2016-12-22 21:24:03
已阅
回复此楼
关注TA
给TA发消息
送TA红花
TA的回帖
xingya
金虫
(小有名气)
应助: 0
(幼儿园)
金币: 566.7
帖子: 166
在线: 110.4小时
虫号: 2740276
引用回帖:
6楼
:
Originally posted by
苏公子
at 2016-12-22 21:24:03
注意except
注意到了啊
回复此楼
9楼
2016-12-22 22:34:26
已阅
回复此楼
关注TA
给TA发消息
送TA红花
TA的回帖
chengsi9406
铁杆木虫
(著名写手)
应助: 26
(小学生)
金币: 5941.8
帖子: 1422
在线: 92.3小时
虫号: 4055000
★
xingya(金币+1): 谢谢参与
要取极限吧
发自小木虫Android客户端
回复此楼
11楼
2016-12-23 08:34:48
已阅
回复此楼
关注TA
给TA发消息
送TA红花
TA的回帖
songbai_hnu
新虫
(初入文坛)
应助: 16
(小学生)
金币: 334.1
帖子: 44
在线: 18.5小时
虫号: 5160433
★
小木虫: 金币+0.5, 给个红包,谢谢回帖
你得把前后的东西都晒一下,不然好理解、我想你这里面的函数都是广义函数,那么它就可能说得通.
赞
一下
(1人)
回复此楼
13楼
2017-01-03 09:22:56
已阅
回复此楼
关注TA
给TA发消息
送TA红花
TA的回帖
简单回复
tan914
2楼
2016-12-22 20:35
回复
xingya(金币+1): 谢谢参与
dsctg
4楼
2016-12-22 21:02
回复
xingya(金币+1): 谢谢参与
joyfuldog
5楼
2016-12-22 21:21
回复
xingya(金币+1): 谢谢参与
1
tzynew
7楼
2016-12-22 22:17
回复
xingya(金币+1): 谢谢参与
假大空
8楼
2016-12-22 22:27
回复
xingya(金币+1): 谢谢参与
顶
wtbccq505
10楼
2016-12-22 23:29
回复
xingya(金币+1): 谢谢参与
wxiaona
12楼
2016-12-23 08:36
回复
xingya(金币+1): 谢谢参与
m
发自小木虫IOS客户端
相关版块跳转
数理科学综合
机械
物理
数学
农林
食品
地学
能源
信息科学
土木建筑
航空航天
转基因
我要订阅楼主
xingya
的主题更新
13
1/1
返回列表
如果回帖内容含有宣传信息,请如实选中。否则帐号将被全论坛禁言
普通表情
龙
兔
虎
猫
高级回复
(可上传附件)
百度网盘
|
360云盘
|
千易网盘
|
华为网盘
在新窗口页面中打开自己喜欢的网盘网站,将文件上传后,然后将下载链接复制到帖子内容中就可以了。
信息提示
关闭
请填处理意见
关闭
确定