| 查看: 466 | 回复: 3 | ||
千变万化新虫 (著名写手)
|
[求助]
热力学试题求助,已有解答过程 已有1人参与
|
|
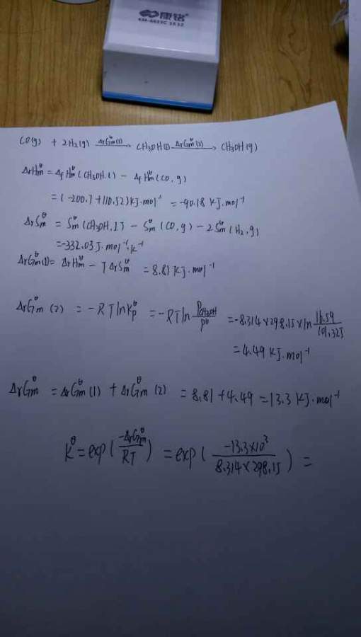
你们可以帮我算一下这个题目吗?图二是我做的,不知道对不对,所以想请你们帮我看看 发自小木虫Android客户端 [ Last edited by 冰点降温 on 2016-12-22 at 09:46 ] |
» 猜你喜欢
26届博士申请
已经有4人回复
PLLA 微球在生物医学领域的研究与应用
已经有1人回复
有机高分子材料论文润色/翻译怎么收费?
已经有60人回复
PLLA 微球的材料特性与制备工艺解析
已经有0人回复
医用聚己内酯(PCL)全解析:从两段式降解到组织工程应用
已经有0人回复
反相硅胶如何再生?
已经有1人回复
哈尔滨理工大学2026年研究生调剂,材料科学与化学工程学院研究生调剂
已经有4人回复
武汉一本高校招收材料、化学、高分子、纺织、生物相关专业硕士生
已经有0人回复
西南交通大学医学院招收生物医学工程和材料与化工专业硕士研究生
已经有15人回复
研究生招生
已经有0人回复
甄士隐207
木虫之王 (文学泰斗)
- ICEPI: 6
- 应助: 959 (博后)
- 贵宾: 0.369
- 金币: 95809.1
- 散金: 8136
- 红花: 222
- 沙发: 6157
- 帖子: 60734
- 在线: 4195.6小时
- 虫号: 2803014
- 注册: 2013-11-15
- 专业: 史学史
【答案】应助回帖
★
感谢参与,应助指数 +1
冰点降温: 金币+1, 谢谢专家应助解答,辛苦了。 2016-12-22 09:47:49
感谢参与,应助指数 +1
冰点降温: 金币+1, 谢谢专家应助解答,辛苦了。 2016-12-22 09:47:49
|
你的做法,我只能勉强看清前几行,看的清的地方思路没错。 发自小木虫Android客户端 |
» 本帖已获得的红花(最新10朵)
2楼2016-12-22 00:08:57
千变万化
新虫 (著名写手)
- 应助: 4 (幼儿园)
- 金币: 2281.6
- 散金: 2174
- 红花: 13
- 沙发: 1
- 帖子: 1521
- 在线: 104.8小时
- 虫号: 4515504
- 注册: 2016-03-17
- 性别: MM
- 专业: 无机化学
3楼2016-12-22 00:19:50
甄士隐207
木虫之王 (文学泰斗)
- ICEPI: 6
- 应助: 959 (博后)
- 贵宾: 0.369
- 金币: 95809.1
- 散金: 8136
- 红花: 222
- 沙发: 6157
- 帖子: 60734
- 在线: 4195.6小时
- 虫号: 2803014
- 注册: 2013-11-15
- 专业: 史学史
【答案】应助回帖
★ ★ ★ ★ ★ ★ ★ ★ ★ ★ ★ ★ ★ ★ ★ ★ ★ ★ ★ ★
千变万化(冰点降温代发): 金币+20 2016-12-22 09:47:59
千变万化(冰点降温代发): 金币+20 2016-12-22 09:47:59
|
题目给的甲醇生成焓是气态的。 发自小木虫Android客户端 |
4楼2016-12-22 00:25:03













回复此楼
千变万化