| ²é¿´: 1532 | »Ø¸´: 8 | ||
lison4½ð³æ (СÓÐÃûÆø)
|
[ÇóÖú]
¹ØÓÚ¼ÆËãbaderµçºÉ·Ö²¼ÖÐNG(X,Y,Z)ÉèÖõÄÎÊÌâ ÒÑÓÐ1È˲ÎÓë
|
µÚÒ»ÐÔÔÀí¼ÆËã-tg |
» ²ÂÄãϲ»¶
»¯Ñ§¹¤³Ì321·ÖÇóµ÷¼Á
ÒѾÓÐ22È˻ظ´
322Çóµ÷¼Á
ÒѾÓÐ4È˻ظ´
¿¼Ñе÷¼Á
ÒѾÓÐ3È˻ظ´
326Çóµ÷¼Á
ÒѾÓÐ8È˻ظ´
333Çóµ÷¼Á
ÒѾÓÐ7È˻ظ´
Ò»Ö¾Ô¸¶«»ª´óѧ¿ØÖÆÑ§Ë¶320Çóµ÷¼Á
ÒѾÓÐ3È˻ظ´
¿¼Ñл¯Ñ§Ñ§Ë¶µ÷¼Á£¬Ò»Ö¾Ô¸985
ÒѾÓÐ7È˻ظ´
0703»¯Ñ§µ÷¼Á
ÒѾÓÐ15È˻ظ´
0703»¯Ñ§µ÷¼Á £¬Áù¼¶Òѹý£¬ÓпÆÑоÀú
ÒѾÓÐ14È˻ظ´
326Çóµ÷¼Á
ÒѾÓÐ4È˻ظ´
| ¶¥£¡ |
2Â¥2016-12-21 11:52:36
ÂþÌìÆ®Ñ©
°æÖ÷ (ÖªÃû×÷¼Ò)
ÈÏÕæ×öÊ£¬Ì¤Êµ×öÈË
- 1STÇ¿Ìû: 1
- Ó¦Öú: 362 (˶ʿ)
- ¹ó±ö: 0.108
- ½ð±Ò: 16867.2
- É¢½ð: 13424
- ºì»¨: 392
- ɳ·¢: 2
- Ìû×Ó: 5766
- ÔÚÏß: 2306.6Сʱ
- ³æºÅ: 914852
- ×¢²á: 2009-11-27
- ÐÔ±ð: GG
- רҵ: ²ÄÁÏÎïÀí»¯Ñ§
- ¹ÜϽ: µÚÒ»ÐÔÔÀí

3Â¥2016-12-21 15:33:55
lison4
½ð³æ (СÓÐÃûÆø)
- Ó¦Öú: 4 (Ó×¶ùÔ°)
- ½ð±Ò: 546.3
- É¢½ð: 30
- ºì»¨: 3
- Ìû×Ó: 242
- ÔÚÏß: 44.3Сʱ
- ³æºÅ: 5116984
- ×¢²á: 2016-10-13
- ÐÔ±ð: GG
- רҵ: ¹âѧ
|
лл£¬¿´ÁËÂÛ̳ÖÐÆäËûµÄÌû×ÓÁ˵쬲»¹ý»¹ÊDz»¸Ò¿Ï¶¨ÎÒÕâ¸öÊÇ·ñÒѾ¿ÉÒÔÁË£¬ËùÒÔÏëÈôó¼Ò¿´¿´¡£ ·¢×ÔСľ³æIOS¿Í»§¶Ë |
4Â¥2016-12-21 16:32:24
hakuna
ľ³æ (ÖªÃû×÷¼Ò)
- 1STÇ¿Ìû: 3
- Ó¦Öú: 82 (³õÖÐÉú)
- ½ð±Ò: 8735.9
- É¢½ð: 158
- ºì»¨: 126
- Ìû×Ó: 5599
- ÔÚÏß: 1367.2Сʱ
- ³æºÅ: 167622
- ×¢²á: 2006-01-15
- רҵ: ¿¼¹ÅÀíÂÛ
|
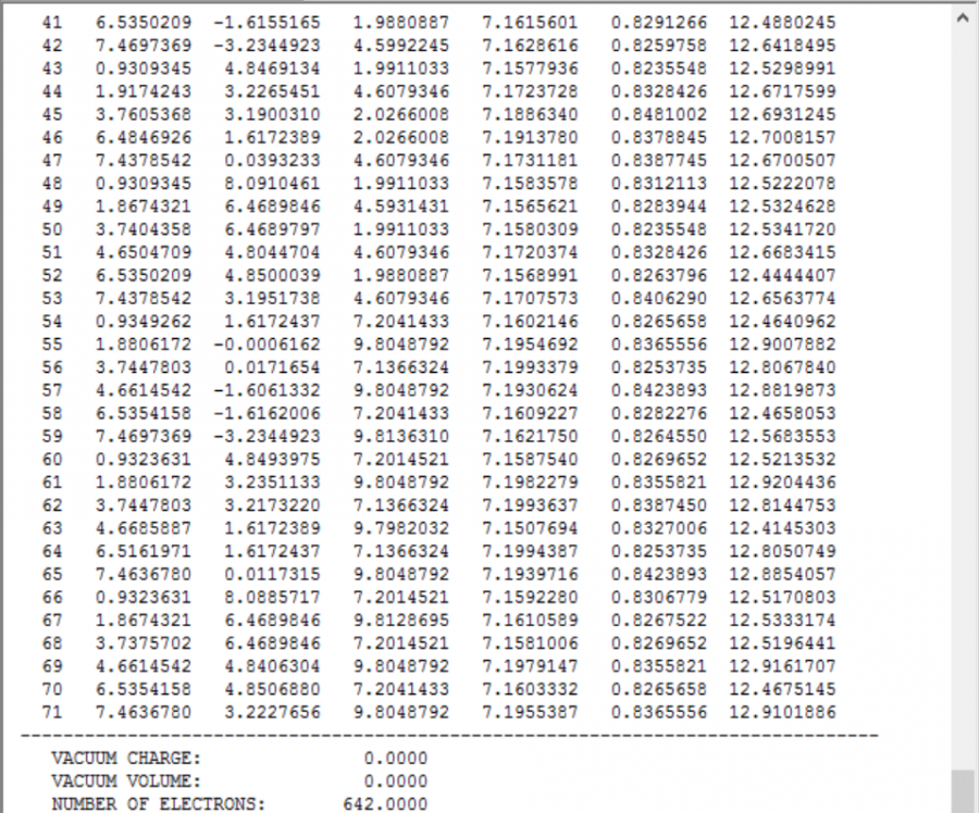
Äã¿ÉÒÔËãÒ»ÏÂÄãµÄÌåϵÀïÊÇ·ñÓÉ642¸öµç×Ó£¬´ÓpotcarÀï¶Á³öÿÖÖÔ×ӵĵçºÉXÔ×ÓÊý£¬¼ÓÆðÀ´¾Í¿ÉÒÔÁË£¬Èç¹ûÊÇ642£¬½á¹û¾Í¶ÔÁË£¬¶øÇÒÄãÕâÀïÕæ¿Õ²¿·ÖûÓеçºÉ£¬¶¼»®·Öµ½Ô×ÓÉÏÈ¥ÁË£¬Í¦ºÃ¡£ÖÁÓÚÿ¸öÔ×ӵûòʧȥÁ˶àÉÙµçºÉ£¬ºÍPOTCARÀïµÄµç×ÓÊý±È½Ï¾ÍÊÇÁË¡£ |
» ±¾ÌûÒÑ»ñµÃµÄºì»¨£¨×îÐÂ10¶ä£©
5Â¥2016-12-21 18:23:13
lison4
½ð³æ (СÓÐÃûÆø)
- Ó¦Öú: 4 (Ó×¶ùÔ°)
- ½ð±Ò: 546.3
- É¢½ð: 30
- ºì»¨: 3
- Ìû×Ó: 242
- ÔÚÏß: 44.3Сʱ
- ³æºÅ: 5116984
- ×¢²á: 2016-10-13
- ÐÔ±ð: GG
- רҵ: ¹âѧ
6Â¥2016-12-21 18:36:32
| ×£¸£ |
7Â¥2016-12-21 19:16:12
lison4
½ð³æ (СÓÐÃûÆø)
- Ó¦Öú: 4 (Ó×¶ùÔ°)
- ½ð±Ò: 546.3
- É¢½ð: 30
- ºì»¨: 3
- Ìû×Ó: 242
- ÔÚÏß: 44.3Сʱ
- ³æºÅ: 5116984
- ×¢²á: 2016-10-13
- ÐÔ±ð: GG
- רҵ: ¹âѧ
8Â¥2016-12-21 22:33:08
hakuna
ľ³æ (ÖªÃû×÷¼Ò)
- 1STÇ¿Ìû: 3
- Ó¦Öú: 82 (³õÖÐÉú)
- ½ð±Ò: 8735.9
- É¢½ð: 158
- ºì»¨: 126
- Ìû×Ó: 5599
- ÔÚÏß: 1367.2Сʱ
- ³æºÅ: 167622
- ×¢²á: 2006-01-15
- רҵ: ¿¼¹ÅÀíÂÛ
9Â¥2016-12-22 16:35:54













»Ø¸´´ËÂ¥
lison4