| ²é¿´: 589 | »Ø¸´: 2 | ||
l1376777571гæ (³õÈëÎÄ̳)
|
[ÇóÖú]
ÇóÖústokes·½³ÌµÄ¸µÁ¢Ò¶±ä»»½â·¨
|
|
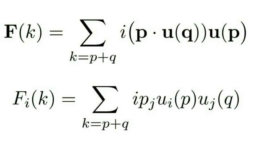
ÇëÎÊÓÐÈË×ö¹ý¸µÁ¢Ò¶±ä»»½ânavier stokes·½³ÌÂð£¬Ö»ÐèÒªÇóÒ»¸ö2dÃæÉϵÄÊýÖµ½â¡£Á½¶Ë¶¼×÷¸µÁ¢Ò¶±ä»»£¬µÚ¶þÏî¿´²»¶®£¬Çó¶®µÄÈ˸ø½²½²£¬Ð»Ð»Ð»Ð»£¡ ·¢×ÔСľ³æAndroid¿Í»§¶Ë |
» ²ÂÄãϲ»¶
287Çóµ÷¼Á
ÒѾÓÐ5È˻ظ´
22408 344·Ö Çóµ÷¼Á Ò»Ö¾Ô¸ »ªµç¼ÆËã»ú¼¼Êõ
ÒѾÓÐ3È˻ظ´
289Çóµ÷¼Á
ÒѾÓÐ3È˻ظ´
317Çóµ÷¼Á
ÒѾÓÐ10È˻ظ´
¹ãÎ÷´óѧ¼ÒÇÝÒÅ´«ÓýÖÖ¿ÎÌâ×é2026Äê˶ʿÕÐÉú£¨½ÓÊÕ¼ÆËã»úרҵµ÷¼Á£©
ÒѾÓÐ3È˻ظ´
ѧУÒѾÌá½»µ½NSFC£¬»¹ÄÜÐÞ¸ÄÂð£¿
ÒѾÓÐ8È˻ظ´
08¹¤Ñ§µ÷¼Á
ÒѾÓÐ5È˻ظ´
281Çóµ÷¼Á£¨0805£©
ÒѾÓÐ25È˻ظ´
085600²ÄÁÏÓ뻯¹¤
ÒѾÓÐ6È˻ظ´
265Çóµ÷¼Á
ÒѾÓÐ8È˻ظ´

l1376777571
гæ (³õÈëÎÄ̳)
- Ó¦Öú: 0 (Ó×¶ùÔ°)
- ½ð±Ò: 47
- ºì»¨: 1
- Ìû×Ó: 22
- ÔÚÏß: 9.6Сʱ
- ³æºÅ: 2594740
- ×¢²á: 2013-08-13
- ÐÔ±ð: GG
- רҵ: ²ÄÁÏÎïÀí»¯Ñ§

2Â¥2016-12-21 06:42:47
ËÕ¹«×Ó
гæ (СÓÐÃûÆø)
- Ó¦Öú: 1 (Ó×¶ùÔ°)
- ½ð±Ò: 627.4
- ºì»¨: 3
- Ìû×Ó: 140
- ÔÚÏß: 46.4Сʱ
- ³æºÅ: 2641753
- ×¢²á: 2013-09-08
- רҵ: Á¦Ñ§ÖеĻù±¾ÎÊÌâºÍ·½·¨
3Â¥2016-12-21 09:28:56













»Ø¸´´ËÂ¥