24СʱÈÈÃŰæ¿éÅÅÐаñ    

²é¿´: 254  |  »Ø¸´: 0

522195945

гæ (³õÈëÎÄ̳)

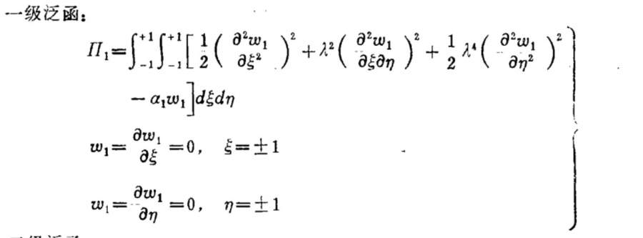
[ÇóÖú] ¹ØÓÚһƪÎÄÕÂÖзºº¯Çó¼«ÖµµÄÎÊÌ⣬ÏëҪѧϰ¾ßÌåµÄ²½Öè

×î½ü¿´ÁËһƪÎÄÕ¡¶¾ù²¼ºÉÔØÏ¾ØÐΰå´óÄÓ¶ÈÎÊÌâµÄÉ㶯±ä·Ö½â¡·£¬È»ºó¸ù¾ÝÎÄÕÂËùдµÄÄÚÈݽøÐÐÏà¹ØµÄ¼ÆË㣬µ«ÊÇ¿´µ½·ºº¯ÎÊÌâÖ®ºó£¬ÎÄÕÂ˵¸ù¾Ý·ºº¯È¡¼«ÖµµÄÌõ¼þ£¬¾ÍµÃ³öÁËaijµÄÖµ£¬ÎÄÕÂÖоßÌåµÄÄÚÈÝÈçÏÂͼËùʾ£¬ÏëÇóÖú´óÉñÄܲ»ÄܰïÎÒÇó½âһϣ¬ÒòΪûÓÐѧ¹ý·ºº¯ÎÊÌ⣬ËùÒÔ²»ÖªµÀ½âµÄ¾ßÌå²½Ö裬ϣÍûÄÄλ´óÉñÄܰïÎÒһϣ¬¾Í¸øÎÒ½âһϾͺã¬ÈÃÎÒ¿´¿´²½ÖèÊÇʲôÑù£¬È»ºóÎÒÔÚ¸ù¾ÝÄúµÄ·½·¨ÔÙ¶ÔÕâÆªÎÄÕ½øÐиüÉîÒ»²½µÄѧϰ¡£Çó´óÉñ°¡£¡£¡£¡

¹ØÓÚһƪÎÄÕÂÖзºº¯Çó¼«ÖµµÄÎÊÌ⣬ÏëҪѧϰ¾ßÌåµÄ²½Öè
2016-12-20_202338.jpg


¹ØÓÚһƪÎÄÕÂÖзºº¯Çó¼«ÖµµÄÎÊÌ⣬ÏëҪѧϰ¾ßÌåµÄ²½Öè-1
2016-12-20_202417.jpg


¹ØÓÚһƪÎÄÕÂÖзºº¯Çó¼«ÖµµÄÎÊÌ⣬ÏëҪѧϰ¾ßÌåµÄ²½Öè-2
2016-12-20_202441.jpg


¹ØÓÚһƪÎÄÕÂÖзºº¯Çó¼«ÖµµÄÎÊÌ⣬ÏëҪѧϰ¾ßÌåµÄ²½Öè-3
2016-12-20_202452.jpg


¹ØÓÚһƪÎÄÕÂÖзºº¯Çó¼«ÖµµÄÎÊÌ⣬ÏëҪѧϰ¾ßÌåµÄ²½Öè-4
2016-12-20_202502.jpg
»Ø¸´´ËÂ¥

» ²ÂÄãϲ»¶

ÒÑÔÄ   »Ø¸´´ËÂ¥   ¹Ø×¢TA ¸øTA·¢ÏûÏ¢ ËÍTAºì»¨ TAµÄ»ØÌû
Ïà¹Ø°æ¿éÌø×ª ÎÒÒª¶©ÔÄÂ¥Ö÷ 522195945 µÄÖ÷Ìâ¸üÐÂ
×î¾ßÈËÆøÈÈÌûÍÆ¼ö [²é¿´È«²¿] ×÷Õß »Ø/¿´ ×îºó·¢±í
[¿¼ÑÐ] ±¾ÈË¿¼085602 »¯Ñ§¹¤³Ì ר˶ +21 ²»ÖªµÀ½Ðʲô£¡ 2026-03-15 23/1150 2026-03-22 00:12 by BruceLiu320
[¿¼ÑÐ] 326Çóµ÷¼Á +5 ŵ±´¶û»¯Ñ§½±êéê 2026-03-15 8/400 2026-03-21 19:33 by ColorlessPI
[¿¼ÑÐ] 0703»¯Ñ§µ÷¼Á +11 ÄÝÄÝninicgb 2026-03-15 15/750 2026-03-21 19:15 by ColorlessPI
[¿¼ÑÐ] 0805 316Çóµ÷¼Á +3 ´óÑ©Éî²Ø 2026-03-18 3/150 2026-03-21 18:55 by ѧԱ8dgXkO
[¿¼ÑÐ] 0703»¯Ñ§297Çóµ÷¼Á +3 Daisy¡î 2026-03-20 3/150 2026-03-21 17:45 by ColorlessPI
[¿¼ÑÐ] Ò»Ö¾Ô¸ÖØÇì´óѧ085700×ÊÔ´Óë»·¾³×Ü·Ö308Çóµ÷¼Á +7 īīĮ 2026-03-20 7/350 2026-03-21 16:36 by barlinike
[¿¼ÑÐ] ÄÜÔ´²ÄÁÏ»¯Ñ§¿ÎÌâ×éÕÐÊÕ˶ʿÑо¿Éú8-10Ãû +5 ÍÑÓ±¶ø³ö 2026-03-16 15/750 2026-03-21 10:16 by ÍÑÓ±¶ø³ö
[¿¼ÑÐ] Çóµ÷¼Á +6 Mqqqqqq 2026-03-19 6/300 2026-03-21 08:04 by JourneyLucky
[¿¼ÑÐ] 08¹¤¿Æ 320×Ü·Ö Çóµ÷¼Á +6 À滨çóÍí·ç 2026-03-17 6/300 2026-03-21 03:40 by JourneyLucky
[¿¼ÑÐ] Ò»Ö¾Ô¸Ìì½ò´óѧ»¯Ñ§¹¤ÒÕרҵ£¨081702£©315·ÖÇóµ÷¼Á +12 yangfz 2026-03-17 12/600 2026-03-21 03:30 by JourneyLucky
[¿¼ÑÐ] ¶þ±¾¿ç¿¼Ö£´ó²ÄÁÏ306Ó¢Ò»Êý¶þ +3 z1z2z3879 2026-03-17 3/150 2026-03-21 02:29 by JourneyLucky
[¿¼ÑÐ] »ª¶«Ê¦·¶´óѧ-071000ÉúÎïѧ-293·Ö-Çóµ÷¼Á +3 Ñо¿ÉúºÎÑþÃ÷ 2026-03-18 3/150 2026-03-21 01:30 by JourneyLucky
[¿¼ÑÐ] ²ÄÁÏרҵÇóµ÷¼Á +6 hanamiko 2026-03-18 6/300 2026-03-21 00:24 by JourneyLucky
[¿¼ÑÐ] ±±¿Æ281ѧ˶²ÄÁÏÇóµ÷¼Á +5 tcxiaoxx 2026-03-20 5/250 2026-03-20 21:35 by laoshidan
[¿¼ÑÐ] AÇøÏß²ÄÁÏѧµ÷¼Á +5 ÖÜÖÜÎÞ¼« 2026-03-20 5/250 2026-03-20 21:33 by laoshidan
[¿¼ÑÐ] ²ÄÁÏѧ˶318Çóµ÷¼Á +5 February_Feb 2026-03-19 5/250 2026-03-19 23:51 by 23Postgrad
[¿¼ÑÐ] 344Çóµ÷¼Á +6 knight344 2026-03-16 7/350 2026-03-18 20:13 by walc
[¿¼ÑÐ] ¡¾Í¬¼ÃÈí¼þ¡¿Èí¼þ£¨085405£©¿¼ÑÐÇóµ÷¼Á +3 2026eternal 2026-03-18 3/150 2026-03-18 19:09 by ²«»÷518
[¿¼ÑÐ] ¶«ÄÏ´óѧ364Çóµ÷¼Á +5 JasonYuiui 2026-03-15 5/250 2026-03-16 21:28 by ľ¹Ï¸à
[¿¼ÑÐ] 070300»¯Ñ§Ñ§Ë¶Çóµ÷¼Á +6 Ì«Ïë½ø²½ÁË0608 2026-03-16 6/300 2026-03-16 16:13 by kykm678
ÐÅÏ¢Ìáʾ
ÇëÌî´¦ÀíÒâ¼û