| 查看: 1162 | 回复: 2 | ||
[求助]
共聚物热重曲线分析 已有1人参与
|
|
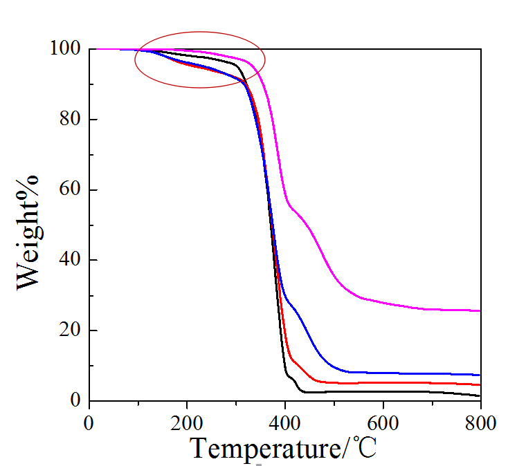
求大神指导一下 最近做了一组TG实验,测试组的成分是MMA、BA、Vi-PDMS的共聚物。请问这个图红色方框区域的损失该怎么分析呢?目前查了一下分解温度PMMA在270℃、PDMS分解温度在400℃附近。。。具体分析我还有很多不懂,求大神指导。。。 _Z9PJQ]%}F{3`]L_D${}`U4.png |
» 猜你喜欢
281求调剂(0805)
已经有15人回复
085600材料与化工调剂 324分
已经有8人回复
能源材料化学课题组招收硕士研究生8-10名
已经有10人回复
267一志愿南京工业大学0817化工求调剂
已经有8人回复
274求调剂
已经有4人回复
328求调剂,英语六级551,有科研经历
已经有10人回复
328求调剂,英语六级551,有科研经历
已经有7人回复
材料专业求调剂
已经有5人回复
一志愿天津大学化学工艺专业(081702)315分求调剂
已经有10人回复
344求调剂
已经有7人回复
asciii
木虫 (著名写手)
- 应助: 24 (小学生)
- 金币: 2913.7
- 红花: 5
- 帖子: 1323
- 在线: 72小时
- 虫号: 5213707
- 注册: 2016-11-08
- 专业: 热分析与能谱分析
2楼2016-12-19 14:53:34
3楼2016-12-20 08:51:28













回复此楼